
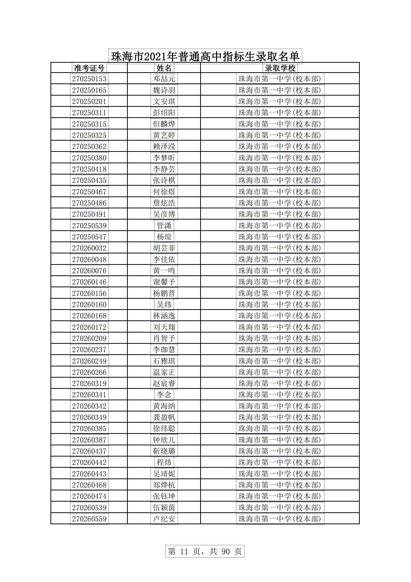
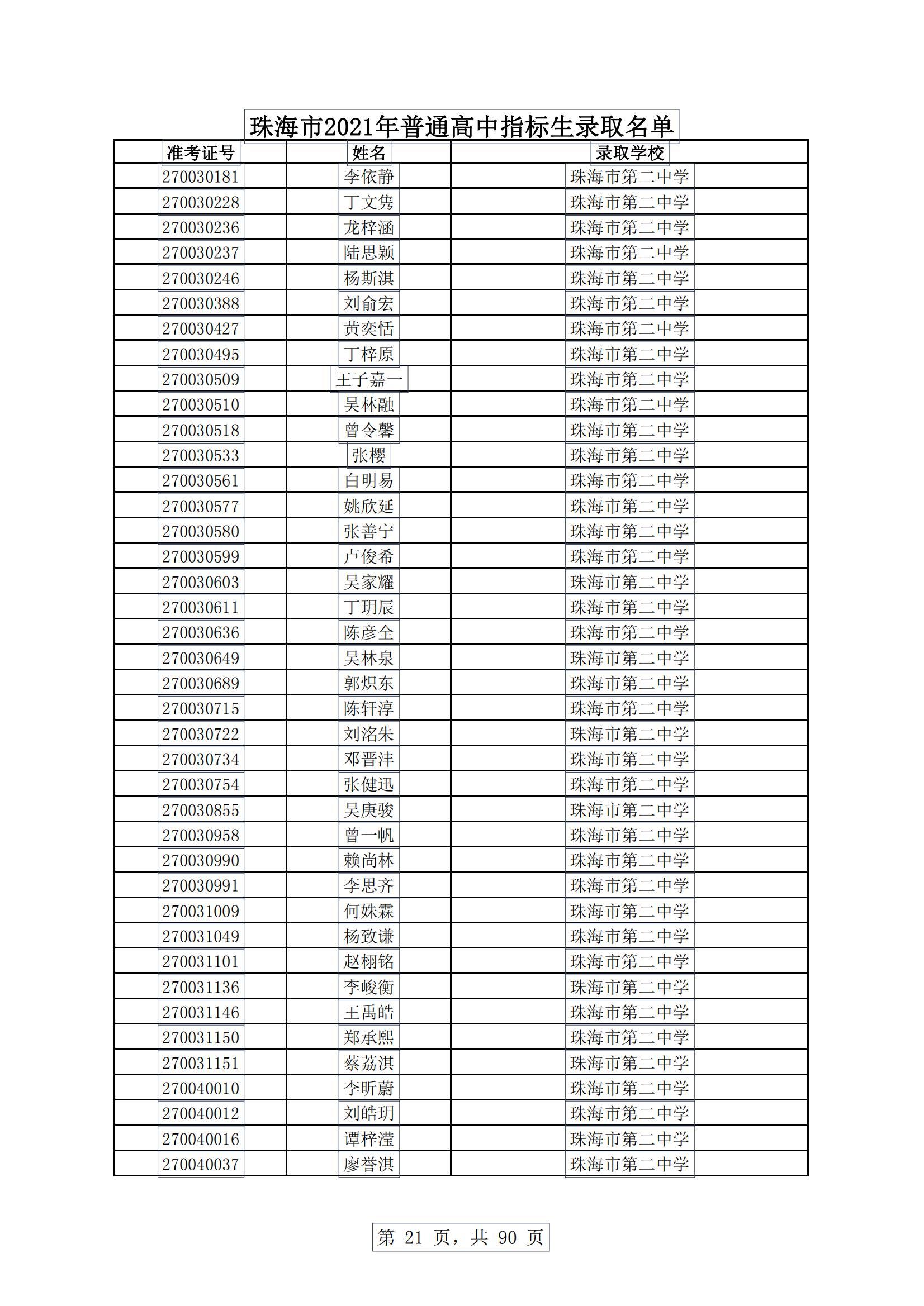
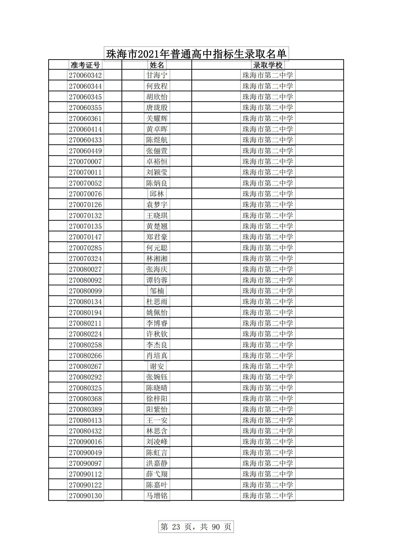
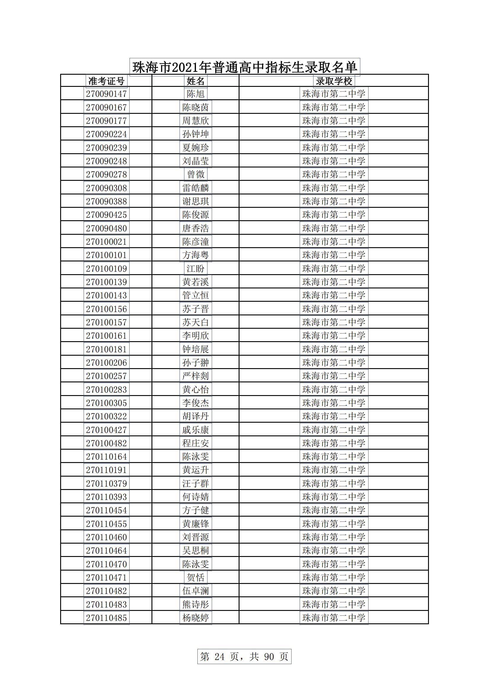
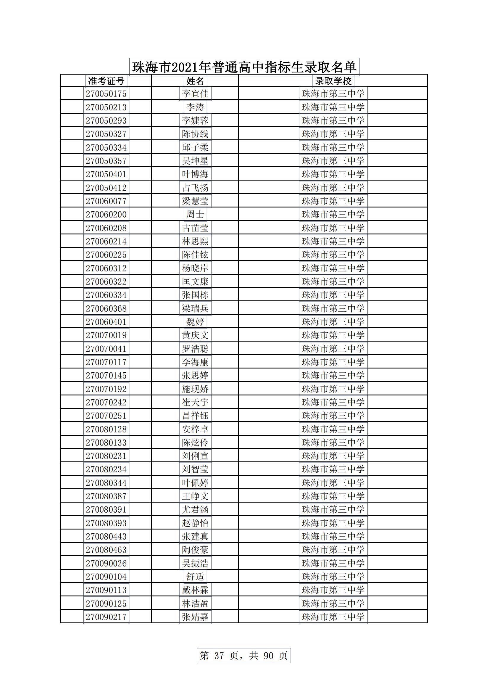
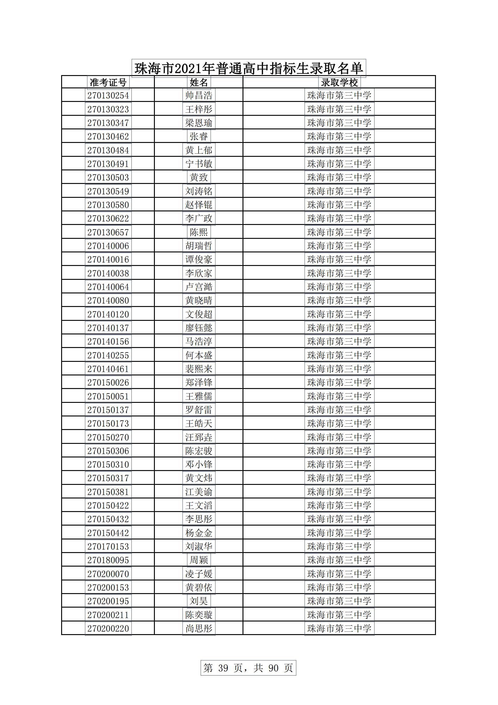
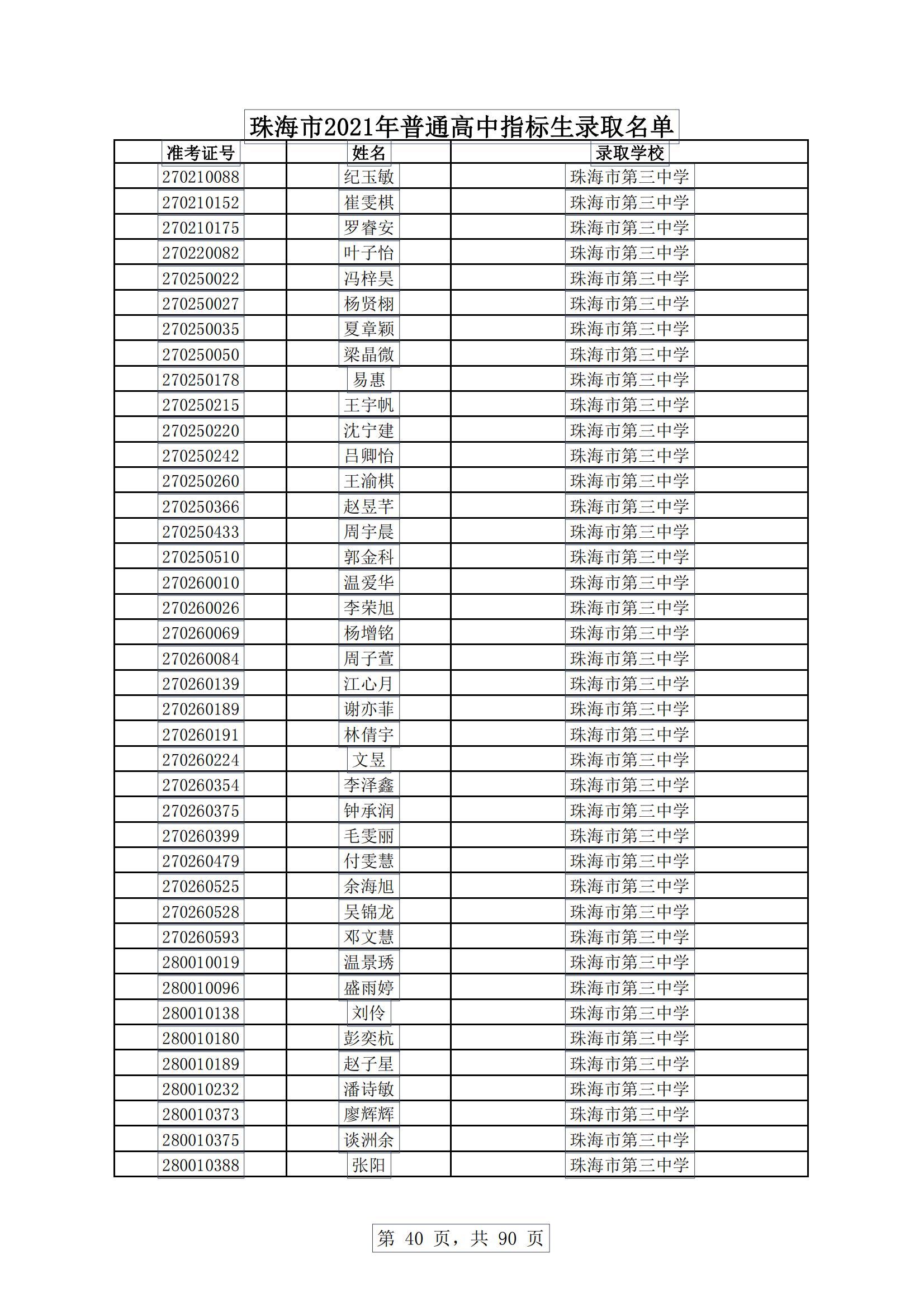
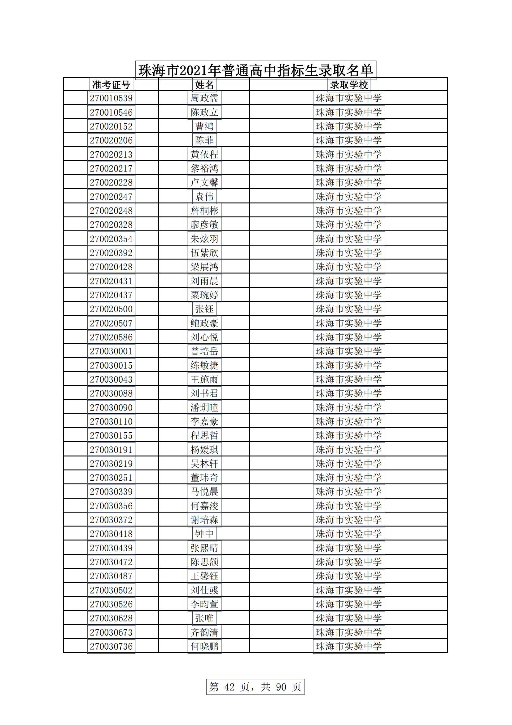
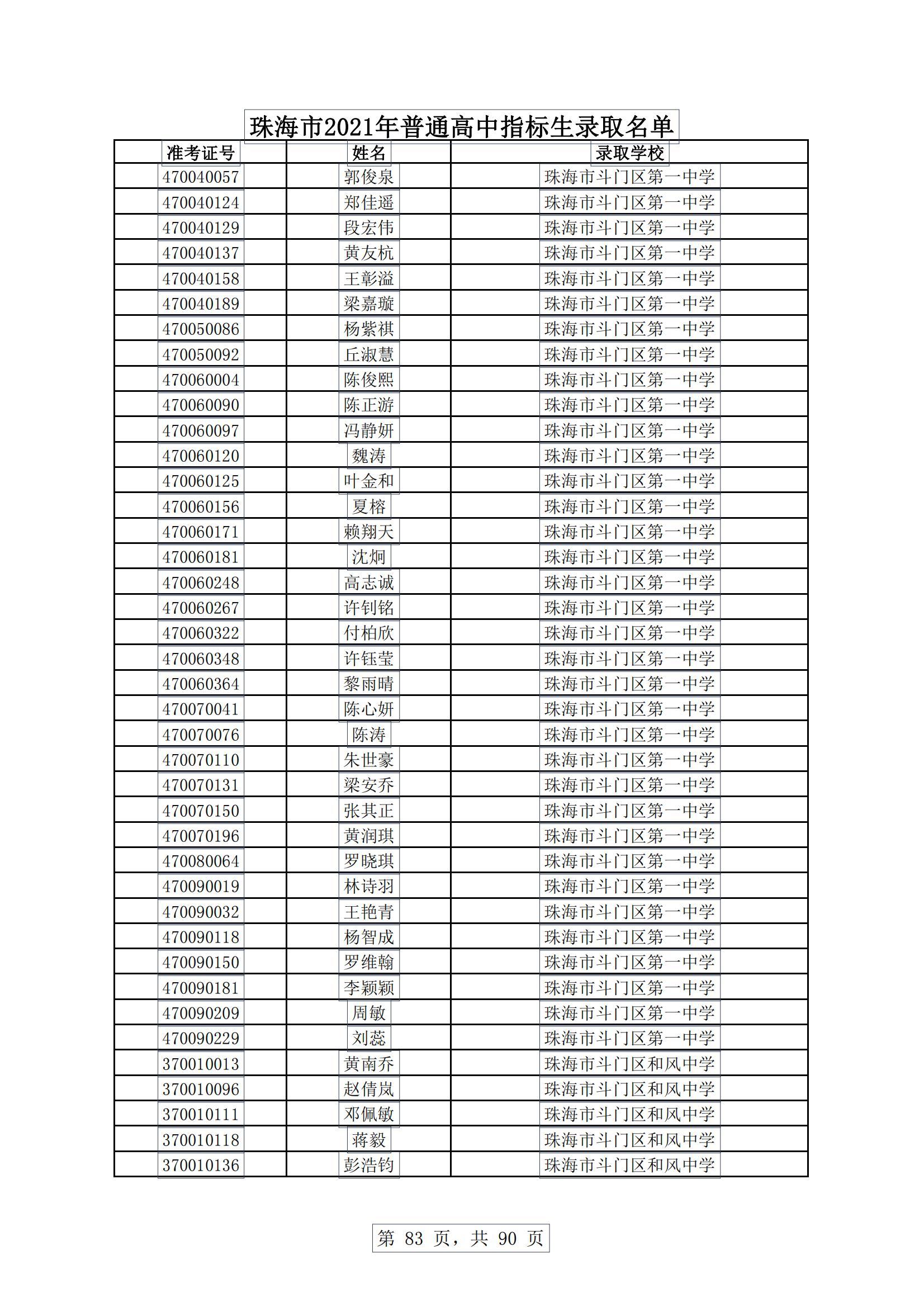
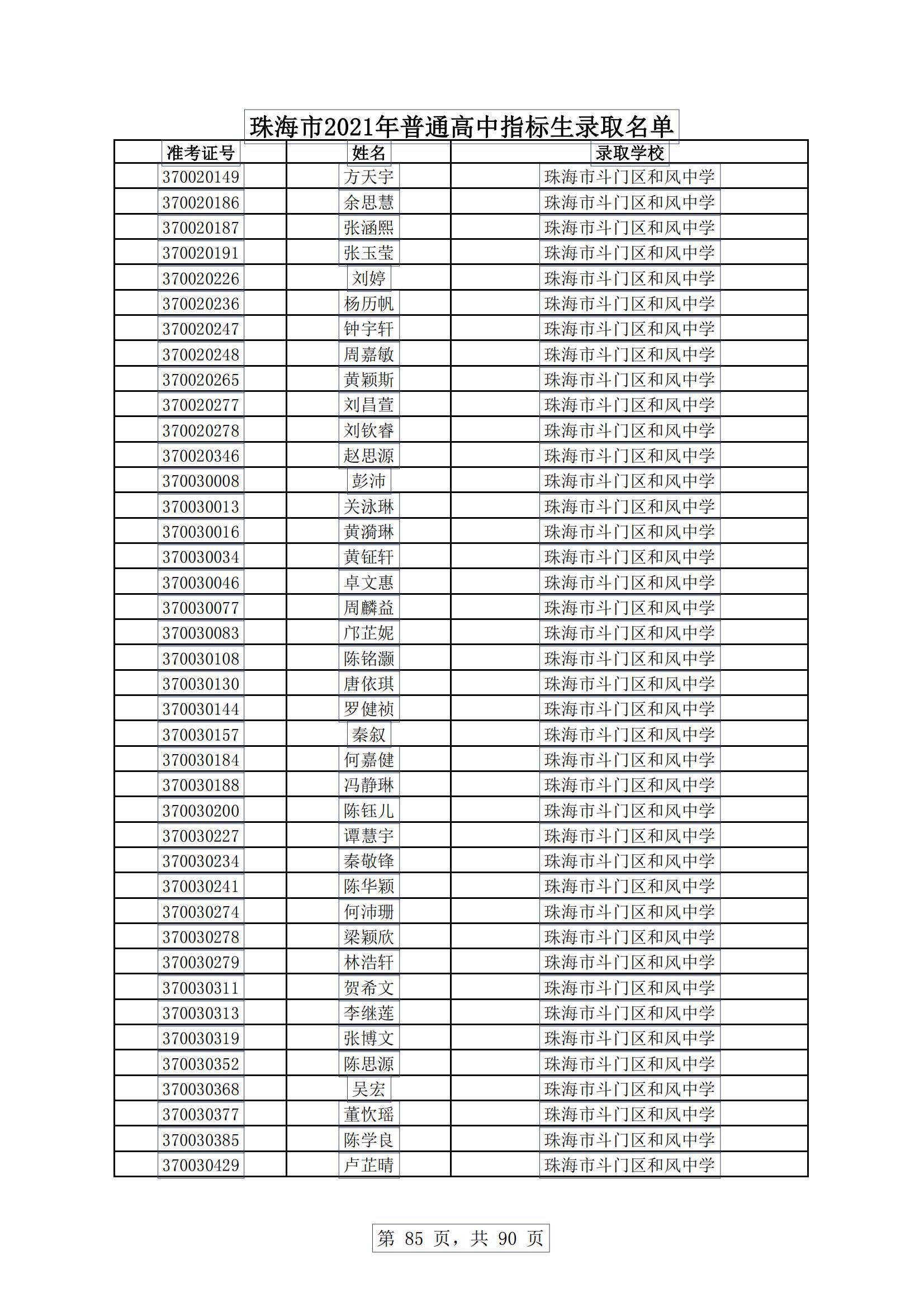
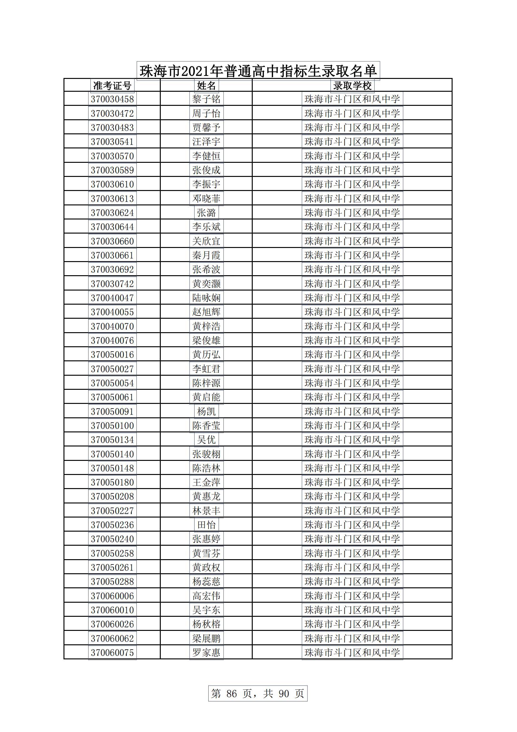
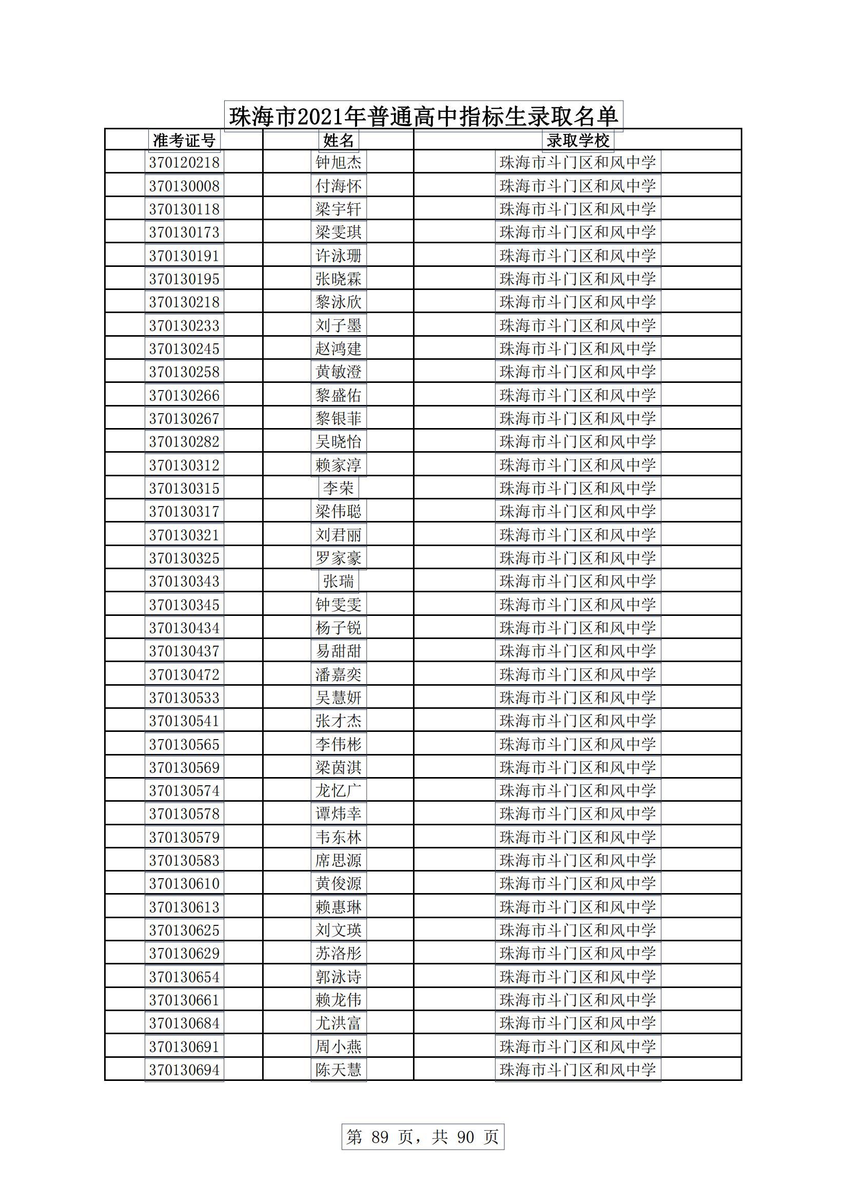
今天,珠海市教育局发布消息,根据《珠海市2021年初中学业水平考试与高中阶段学校招生工作实施细则》,现将珠海普通高中指标生录取名单进行公示。
普通高中指标生录取名单公示时间为7月20—24日。如有异议,请于公示期间(上班时间内)向市教育局反映。
市教育局官网网址:
http://zhjy.zhuhai.gov.cn
联系电话:
0756-2124373、2121947
传真:
0756-2121301
电子邮箱:
jyjzsb zhuhai.gov.c
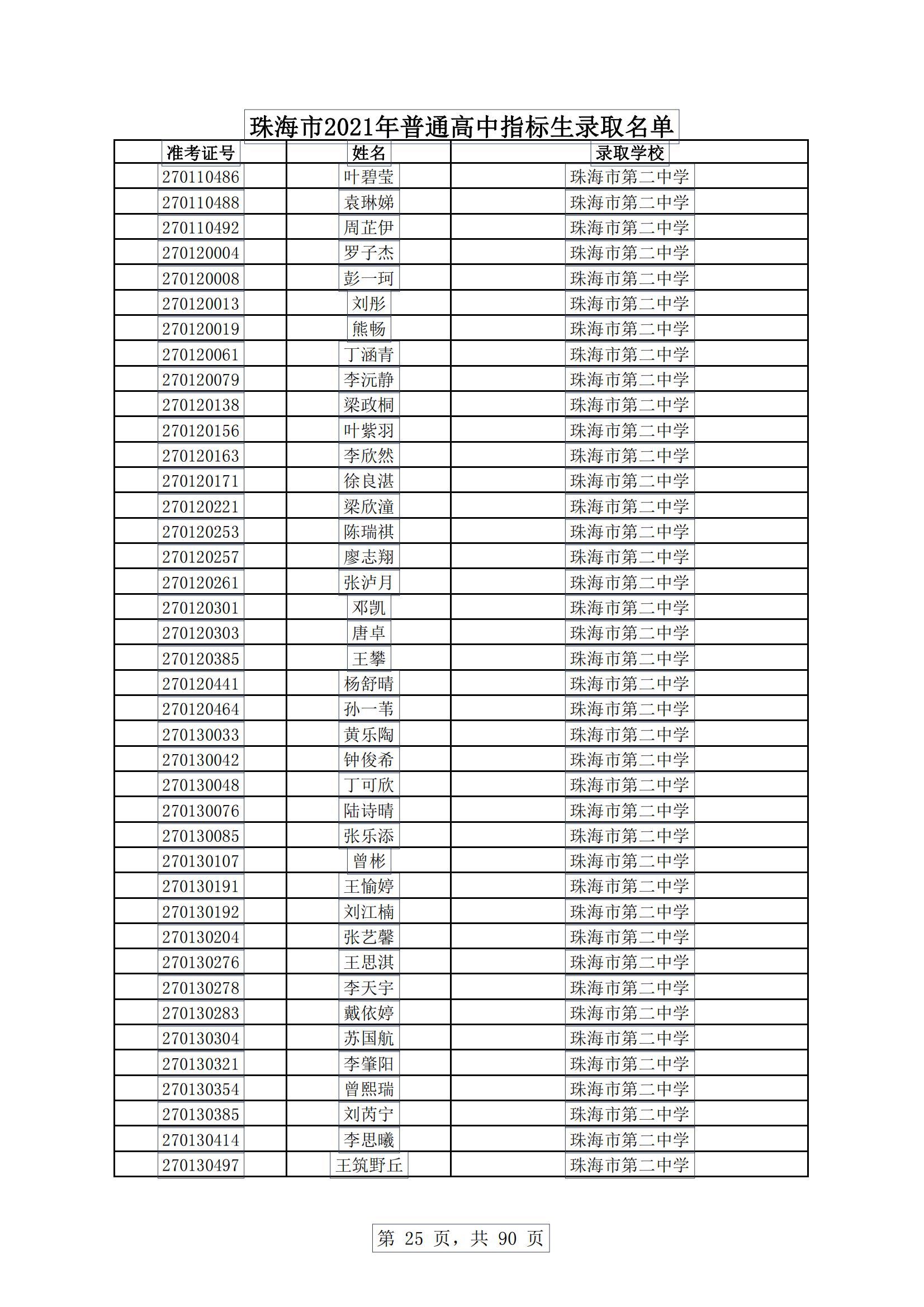
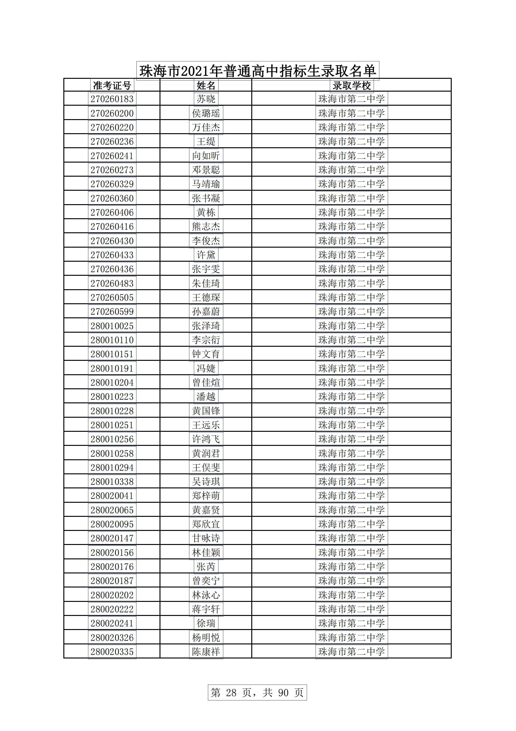
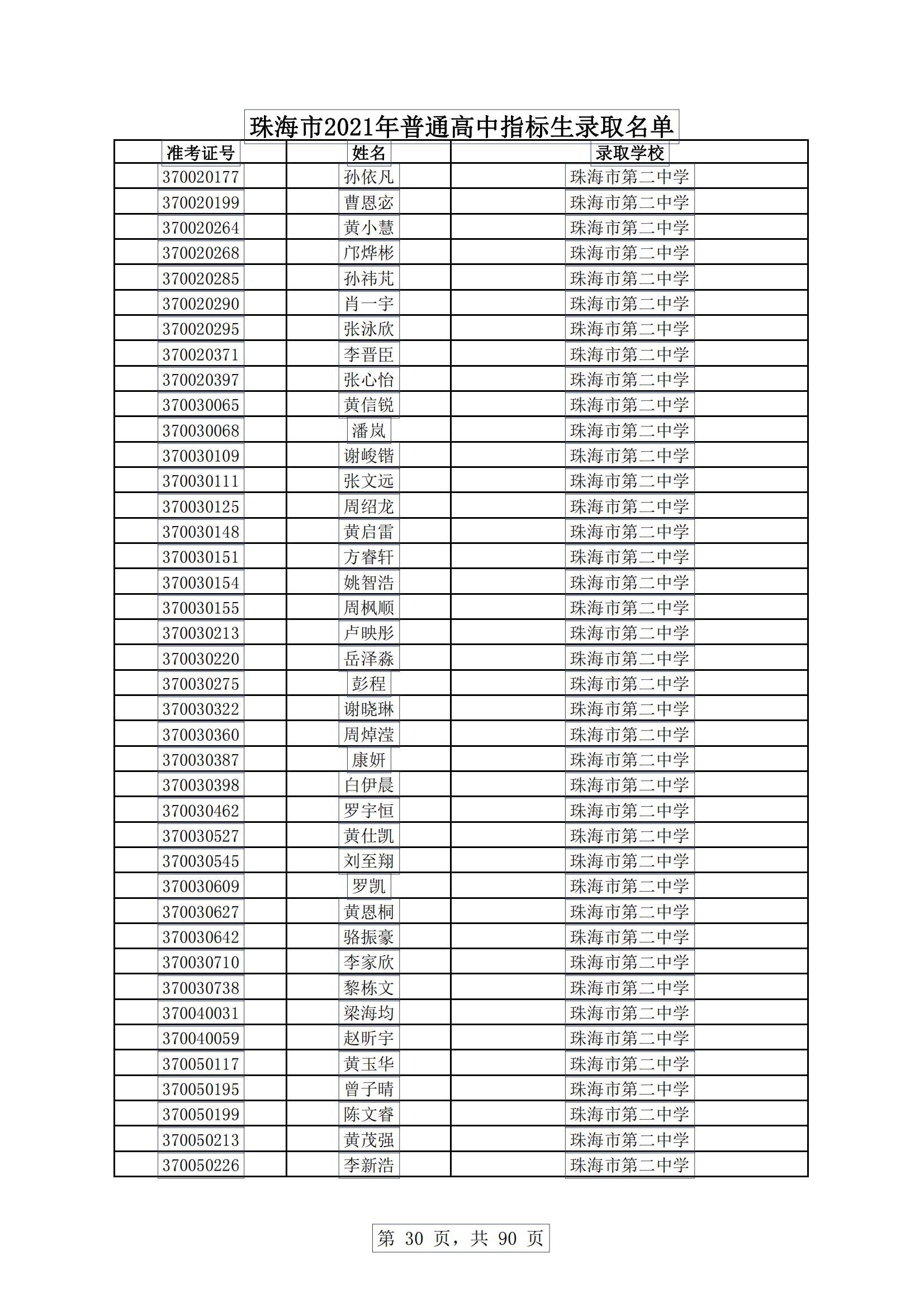
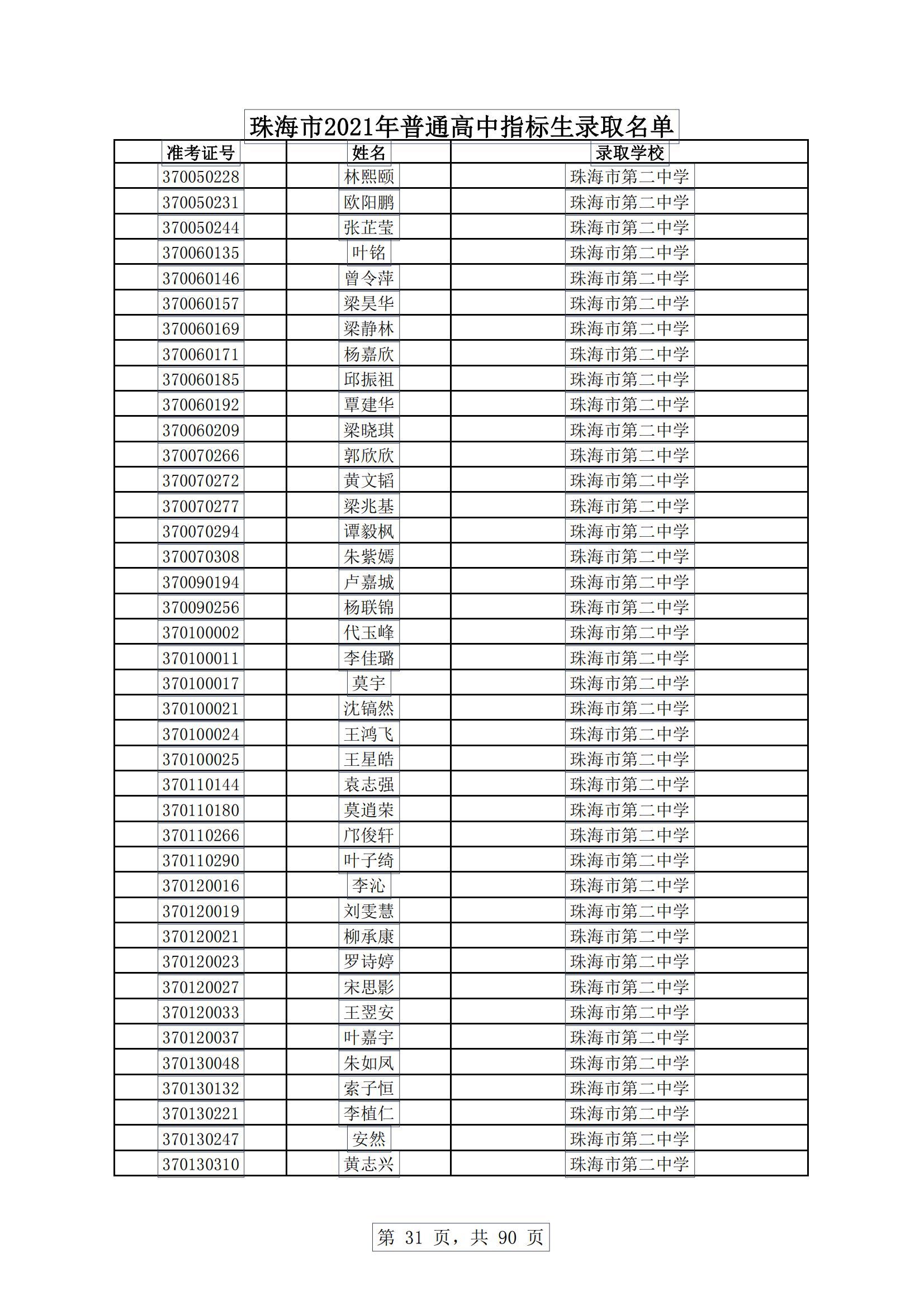
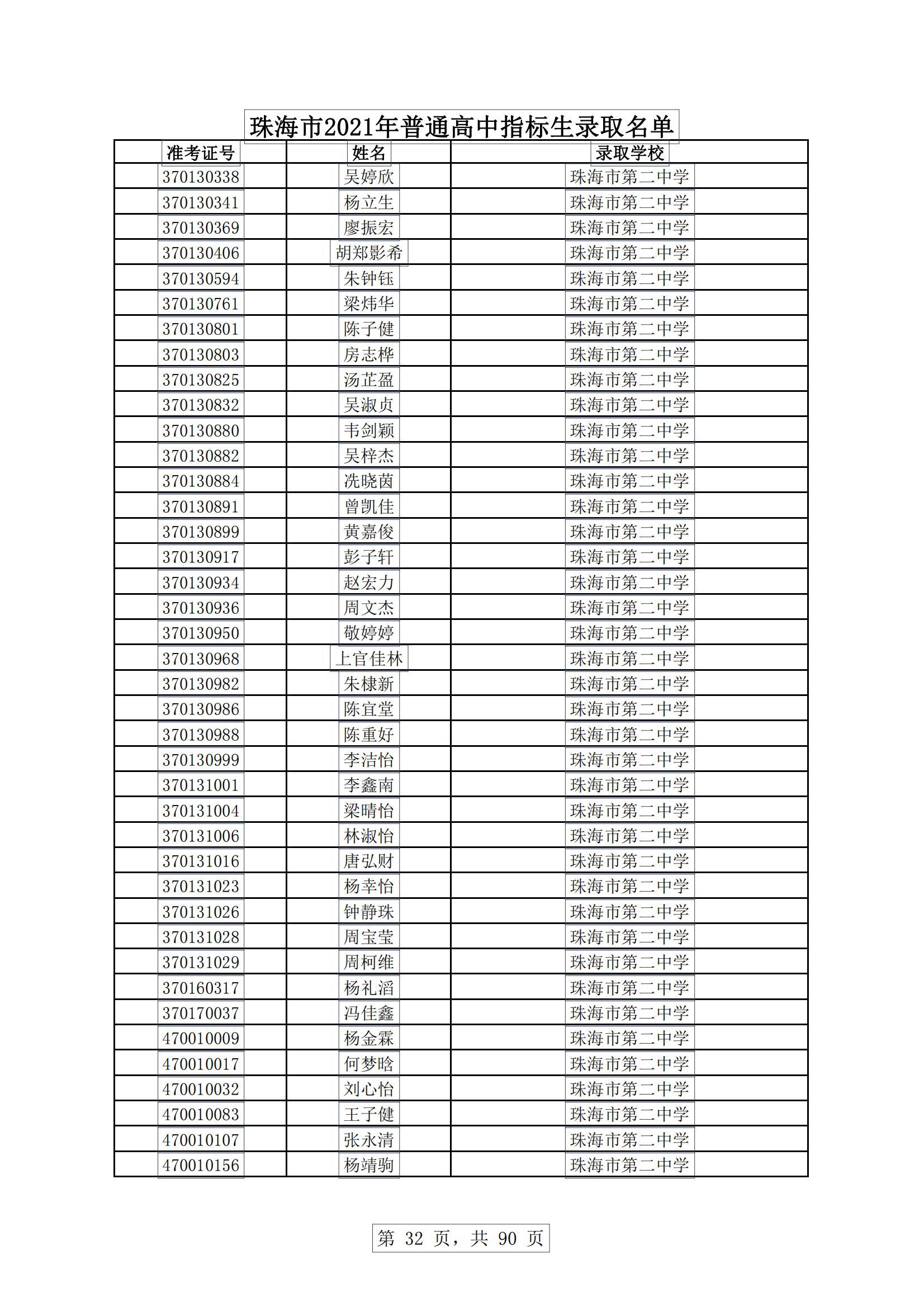
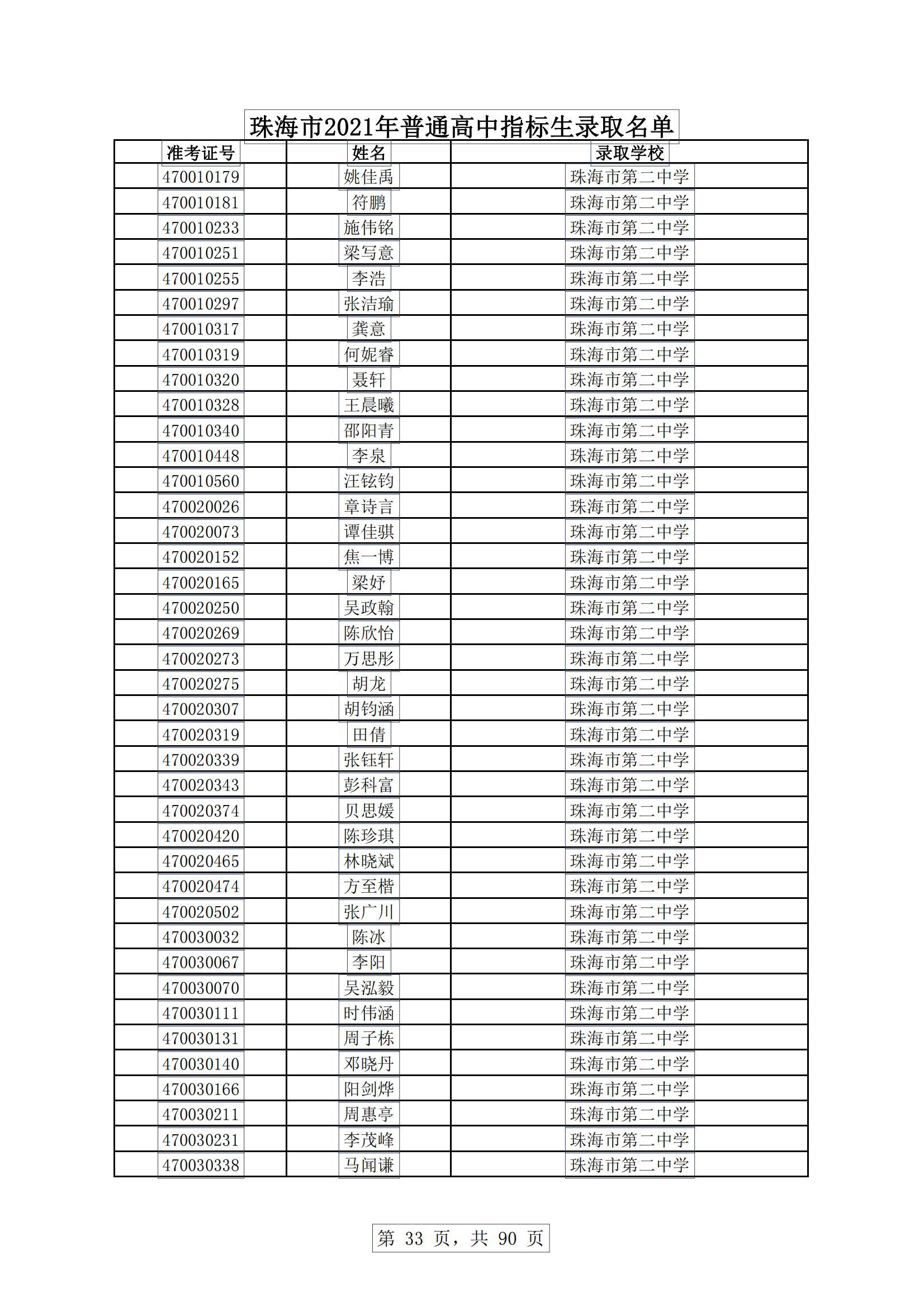
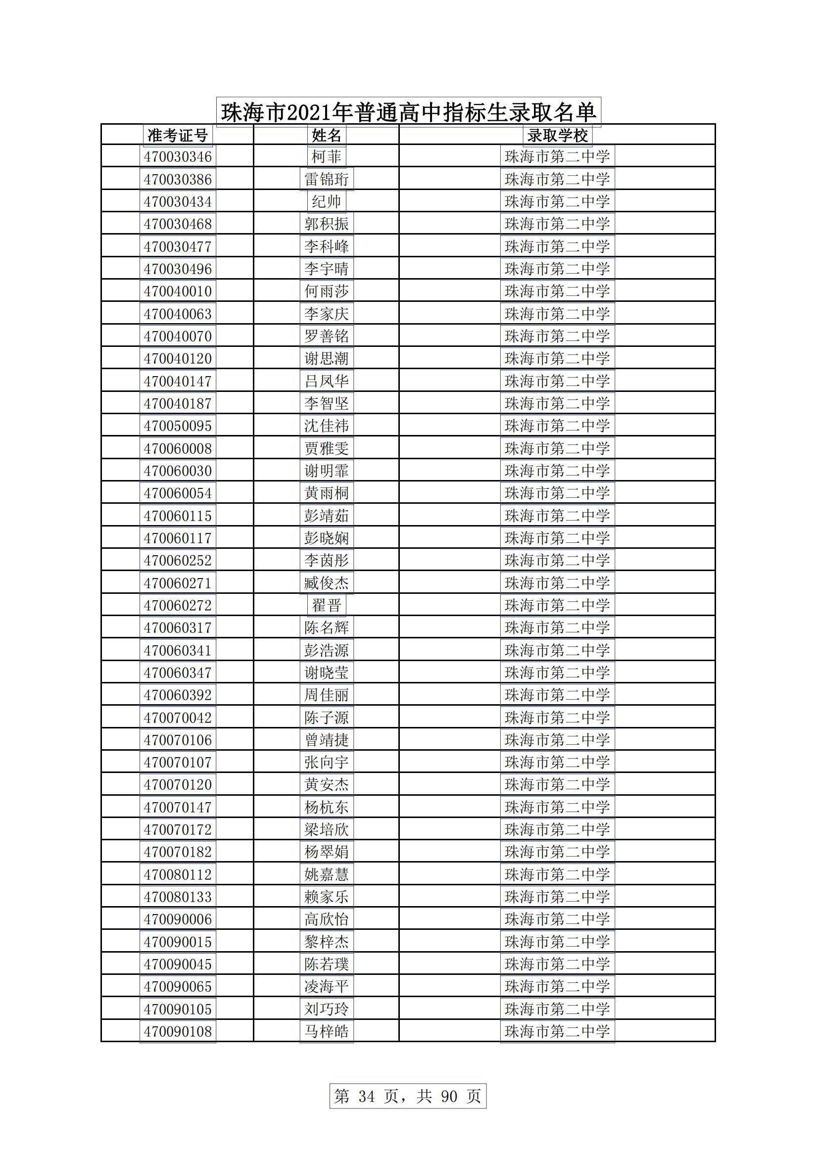
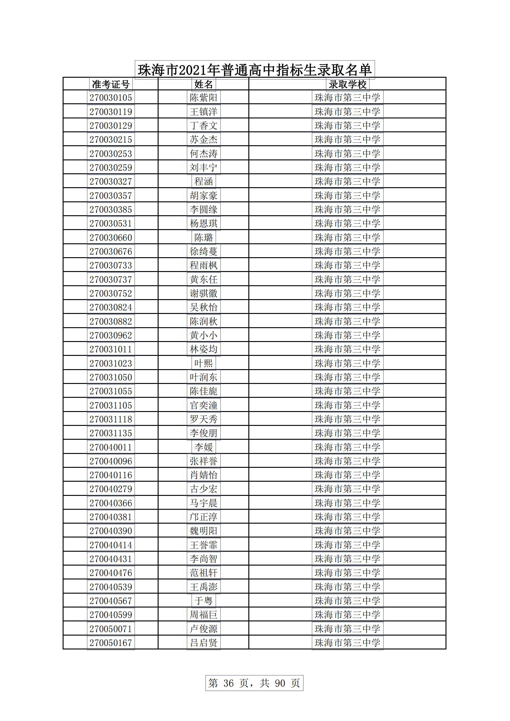
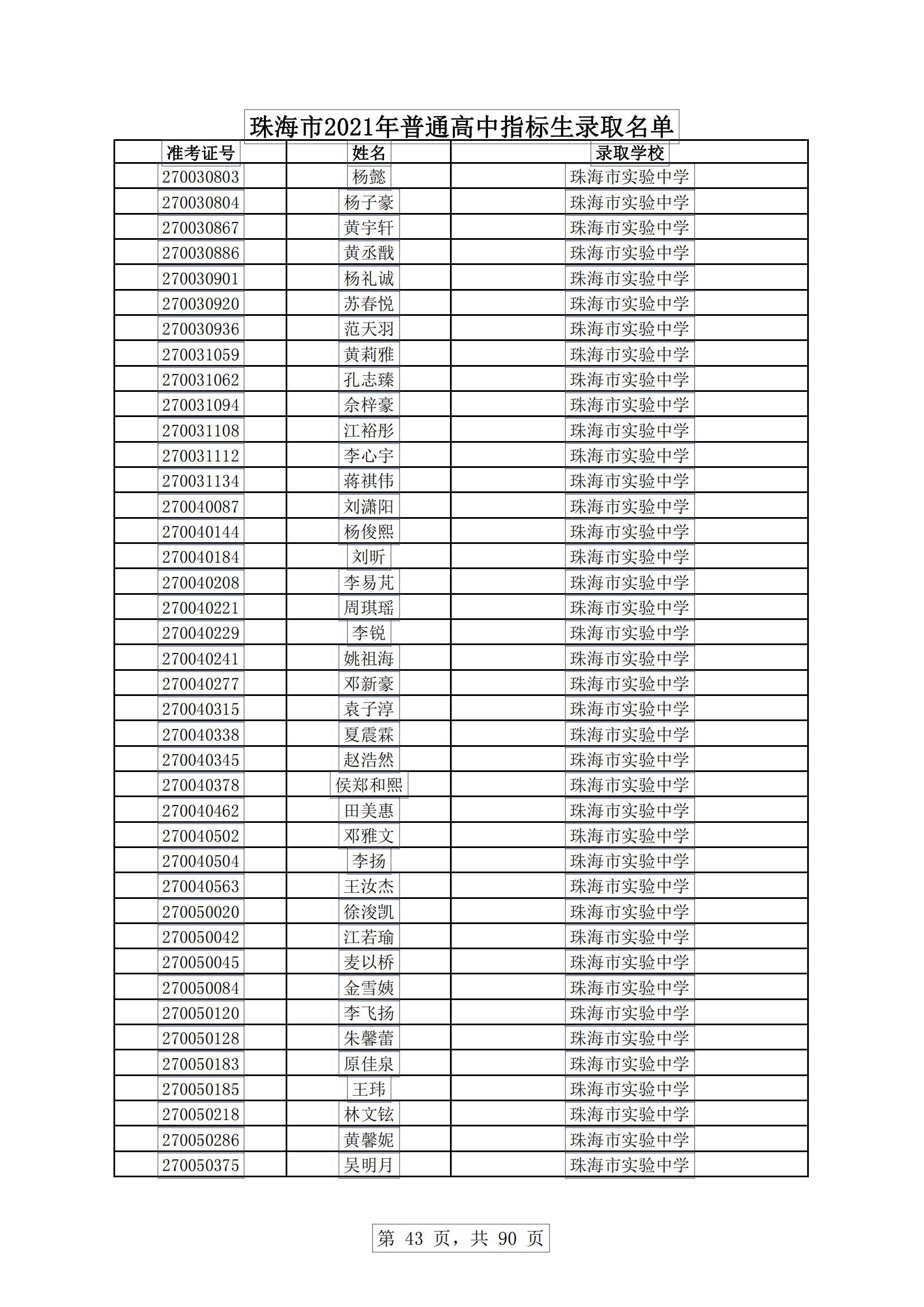
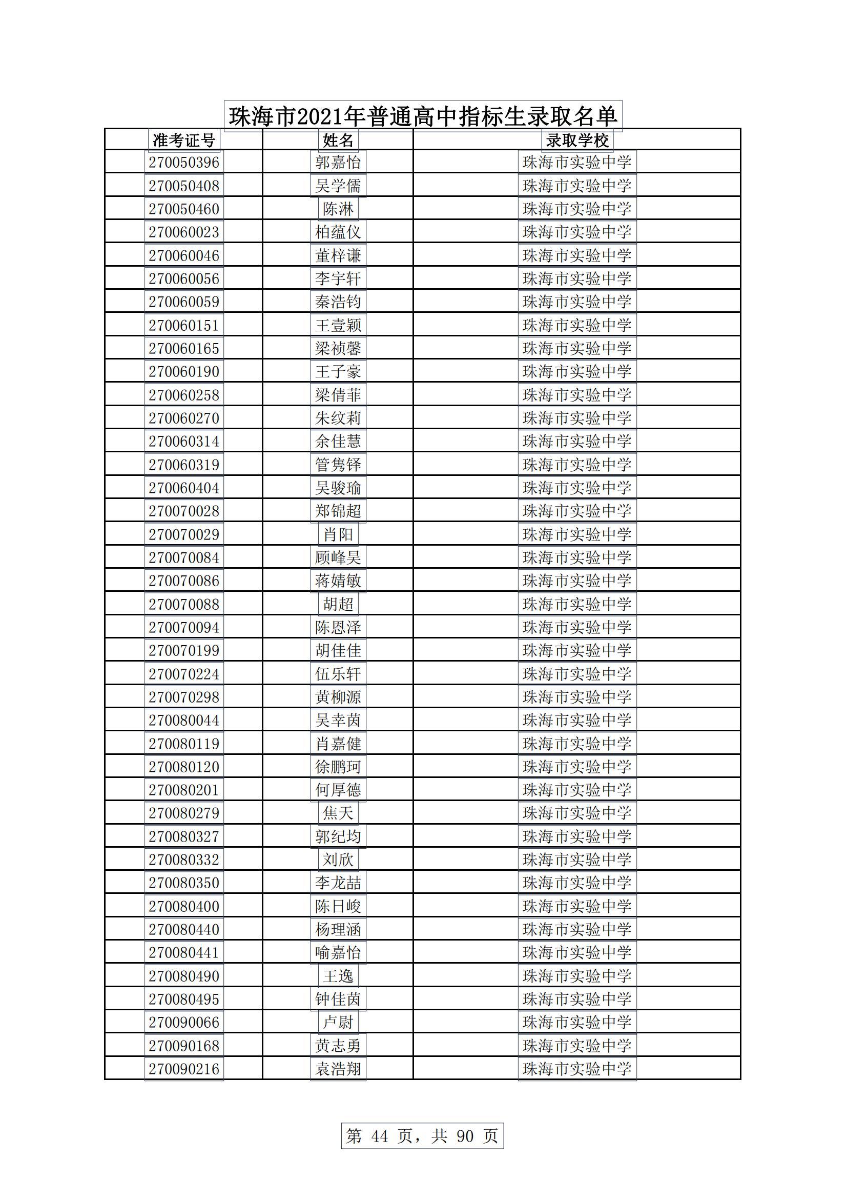
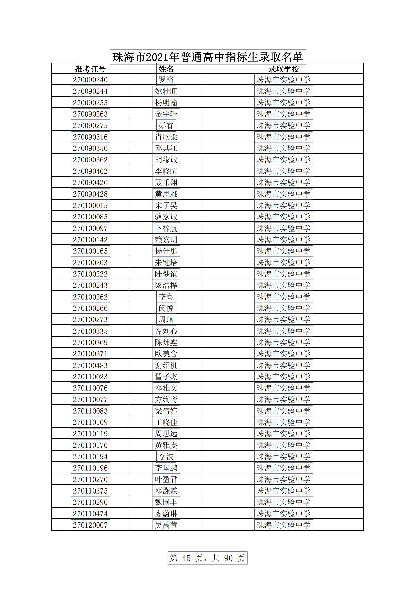
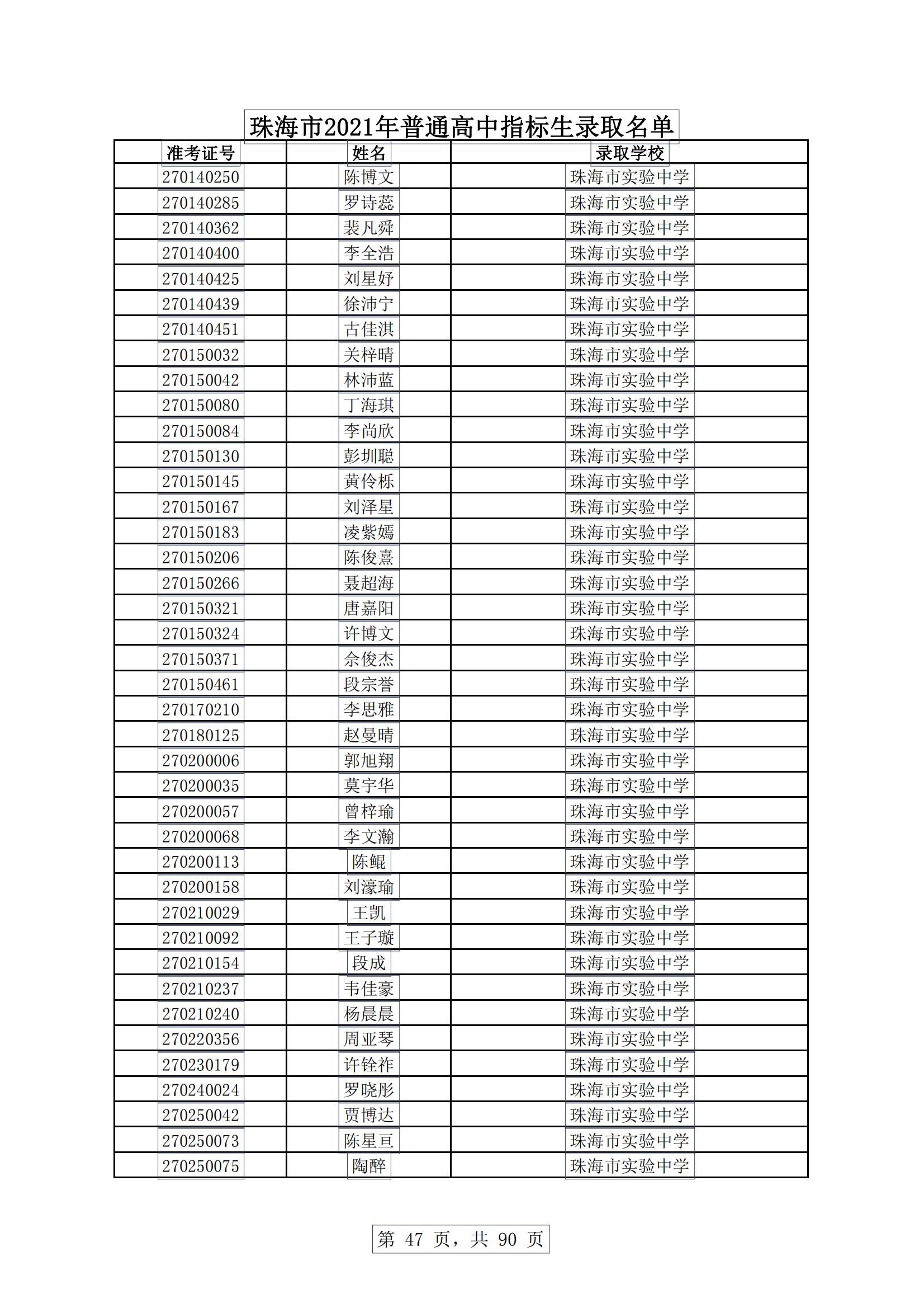
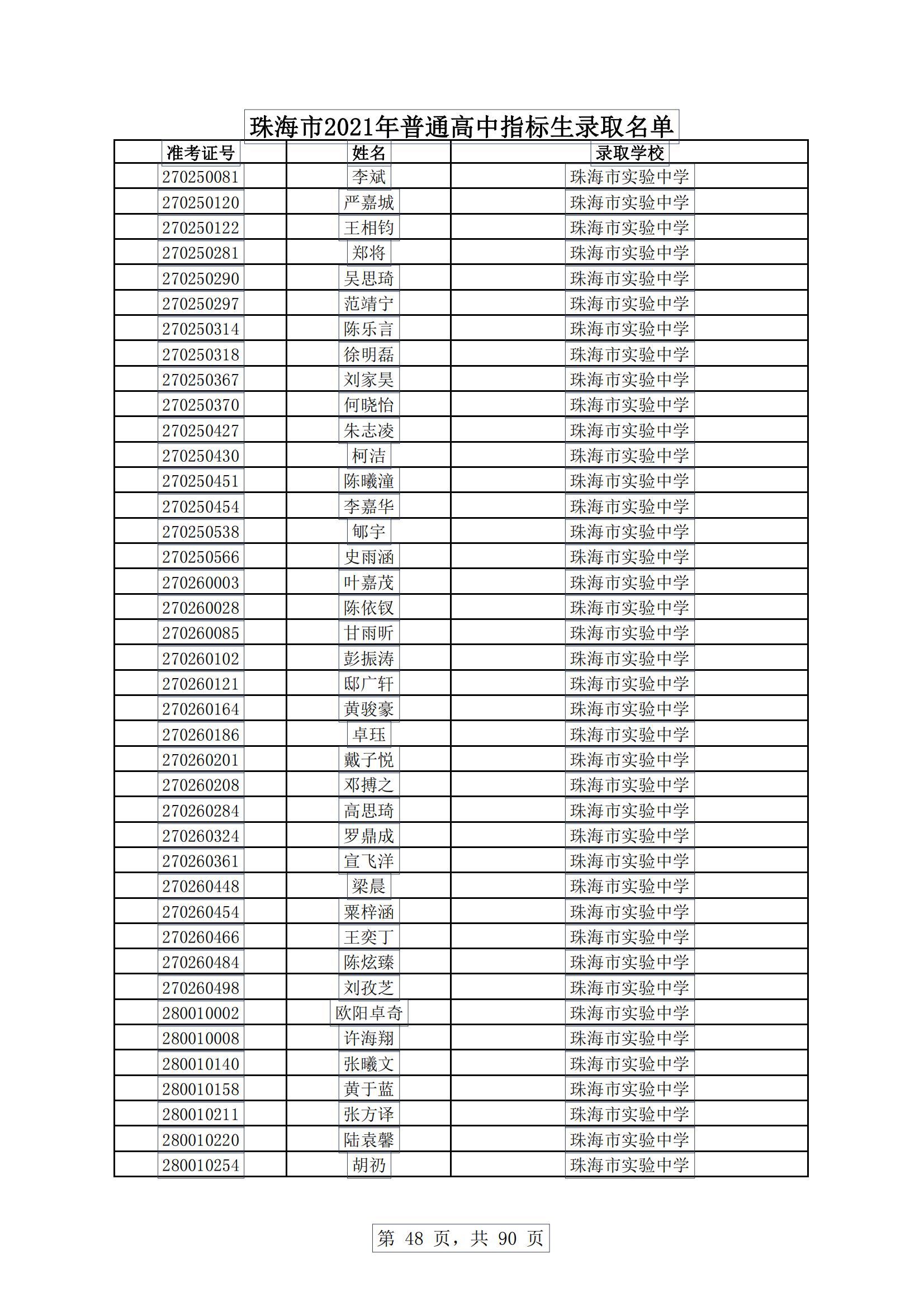
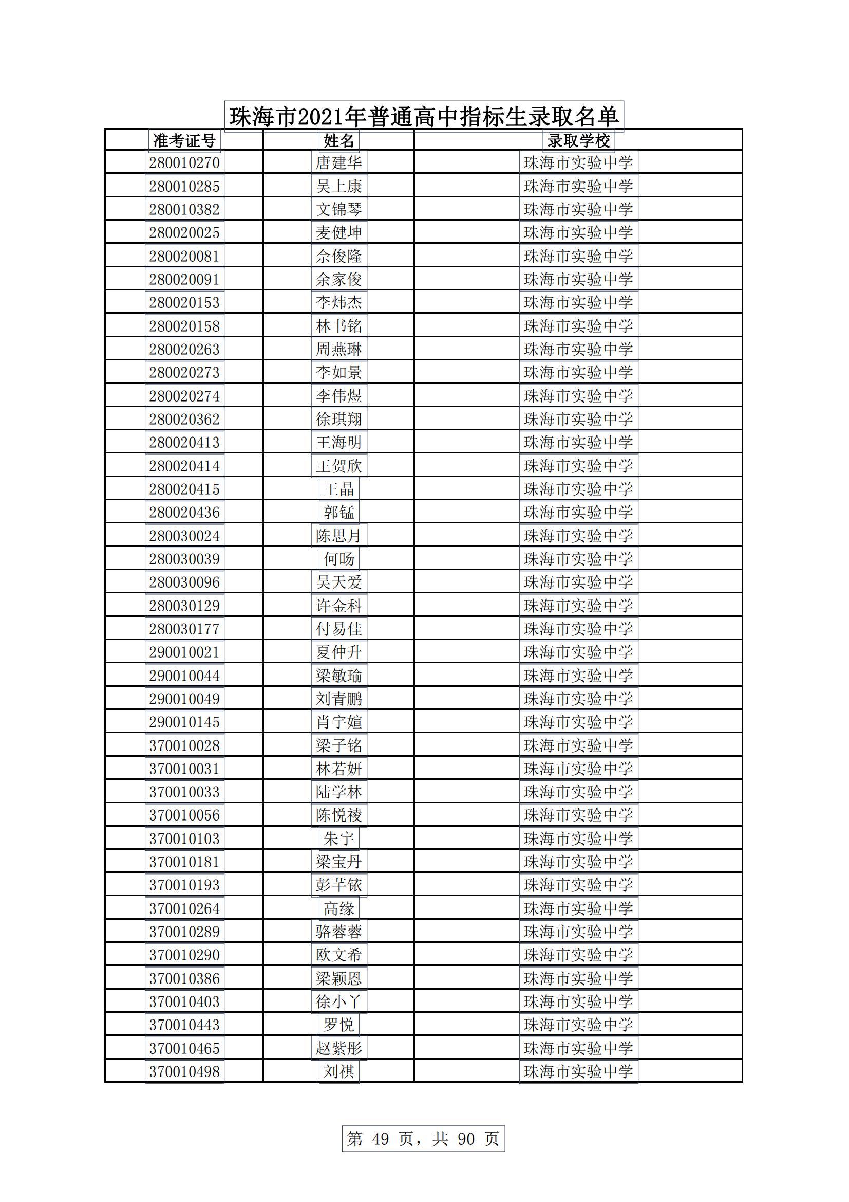
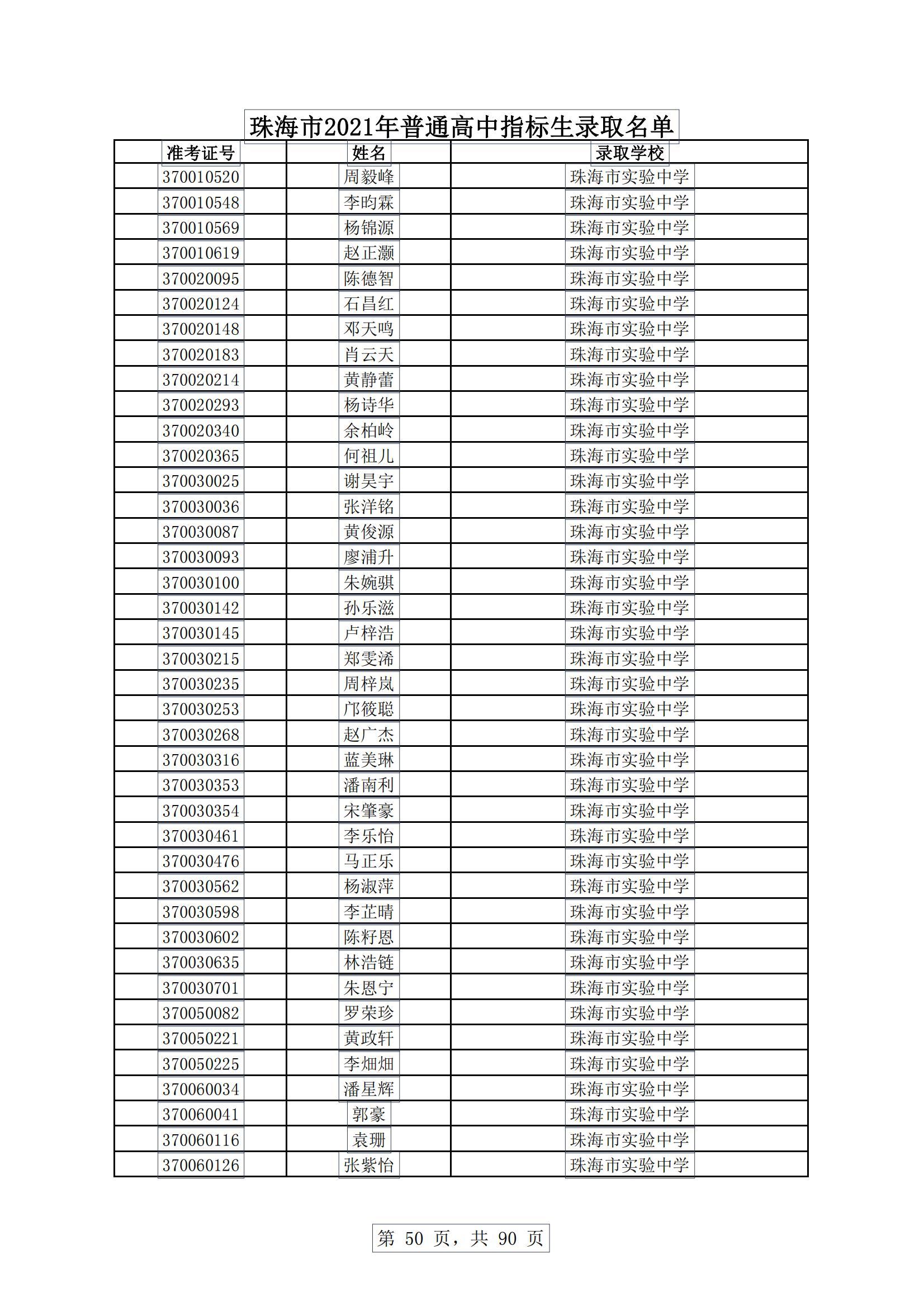
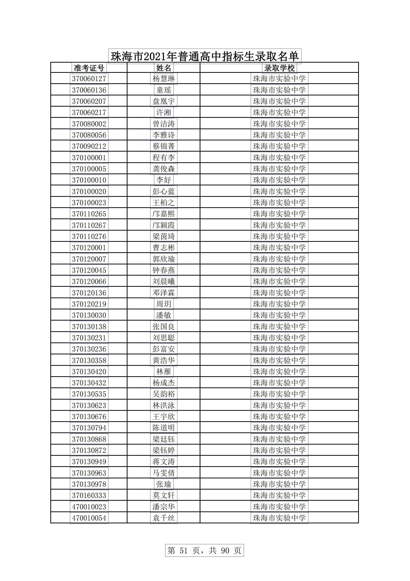
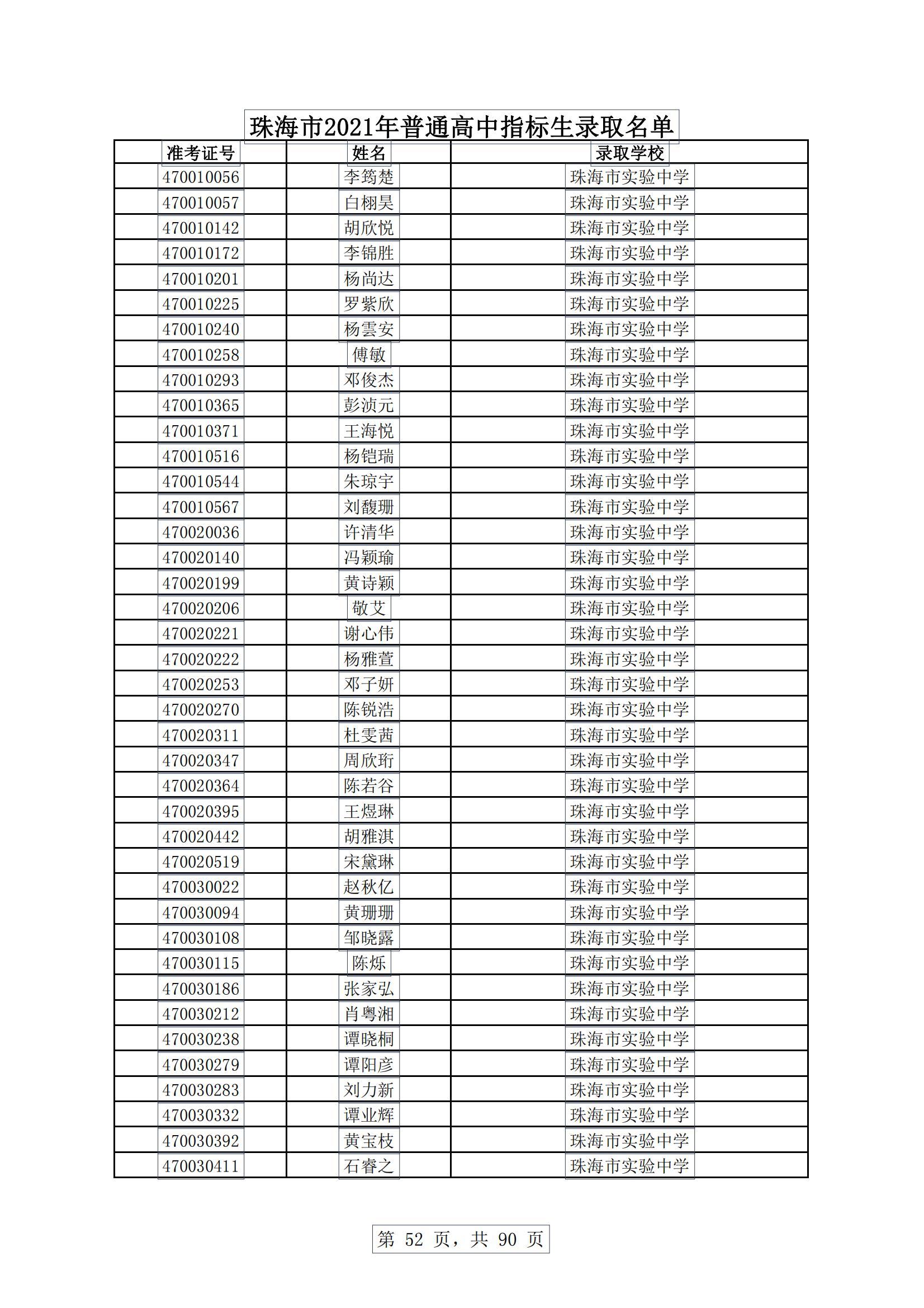
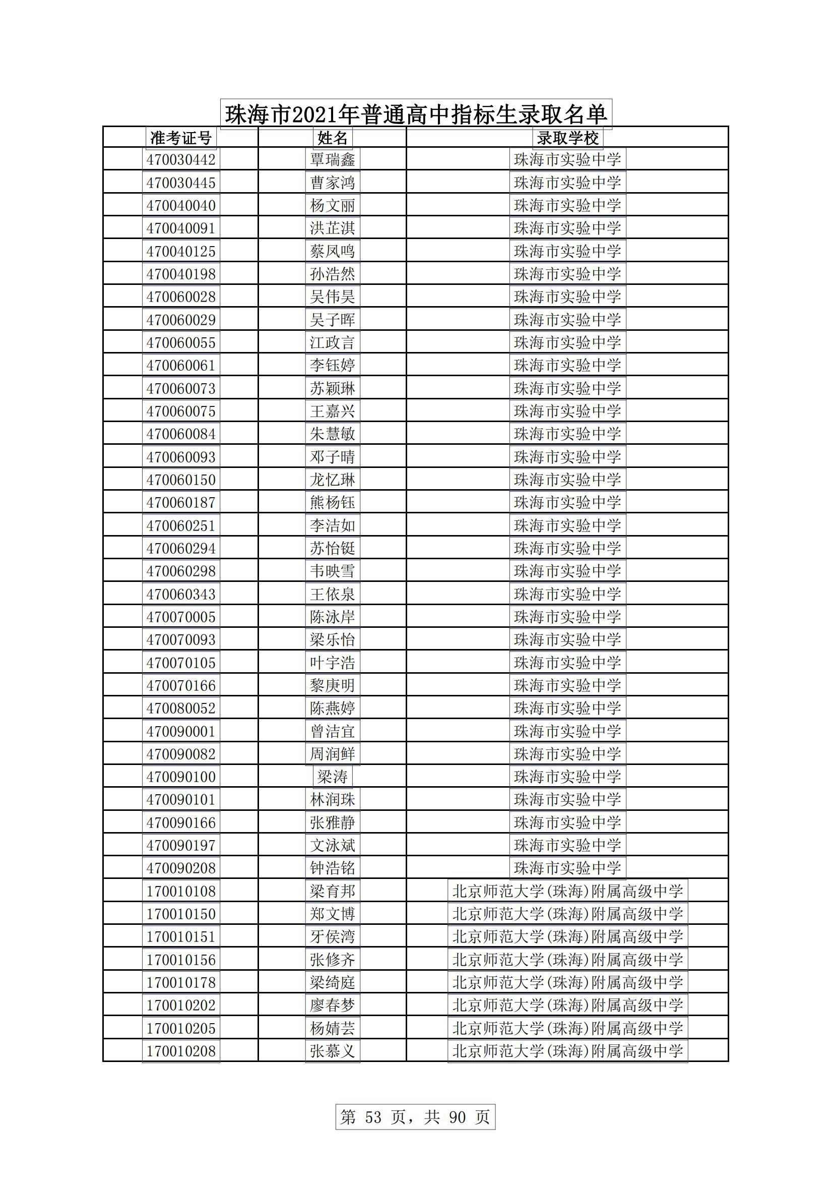
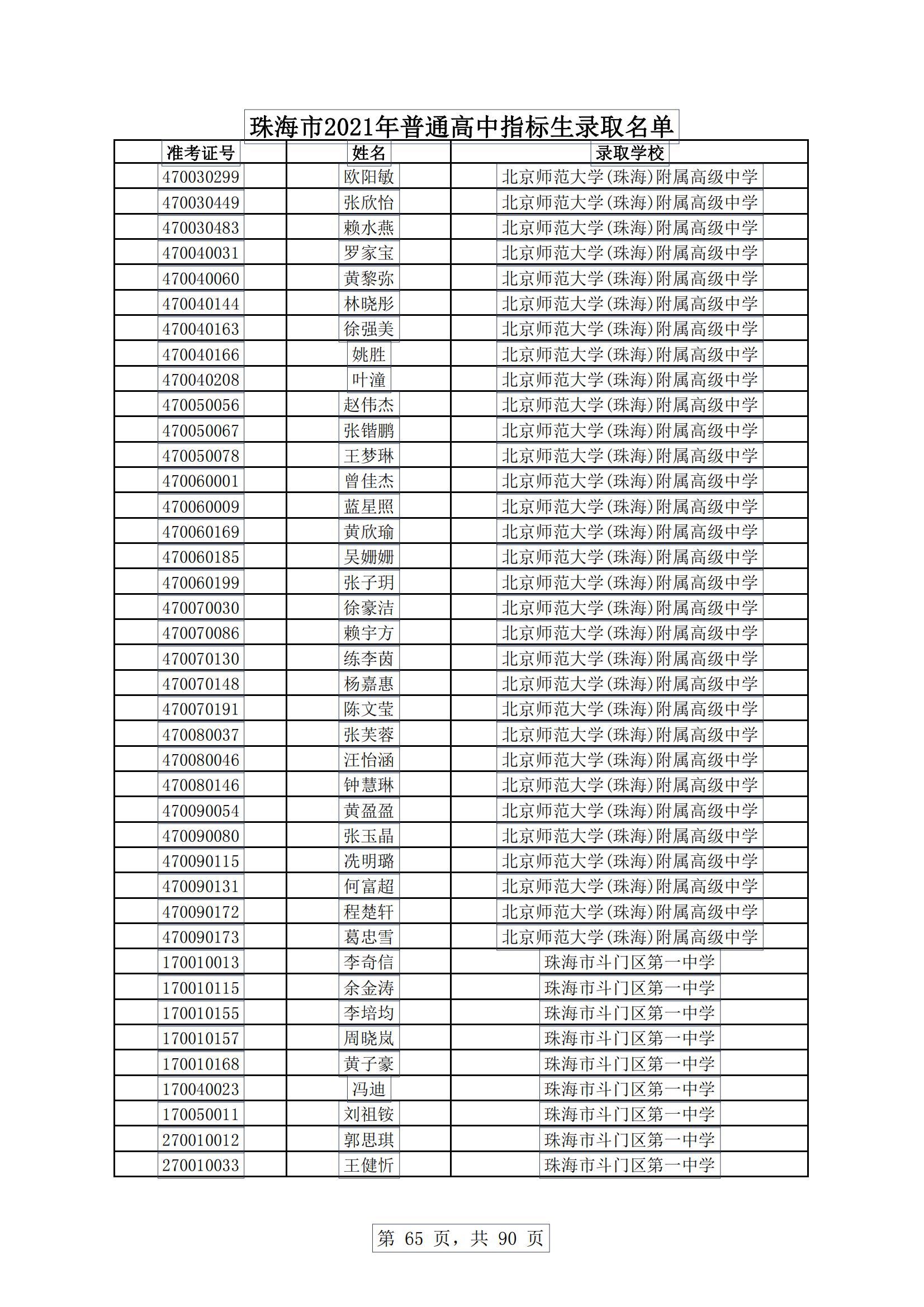
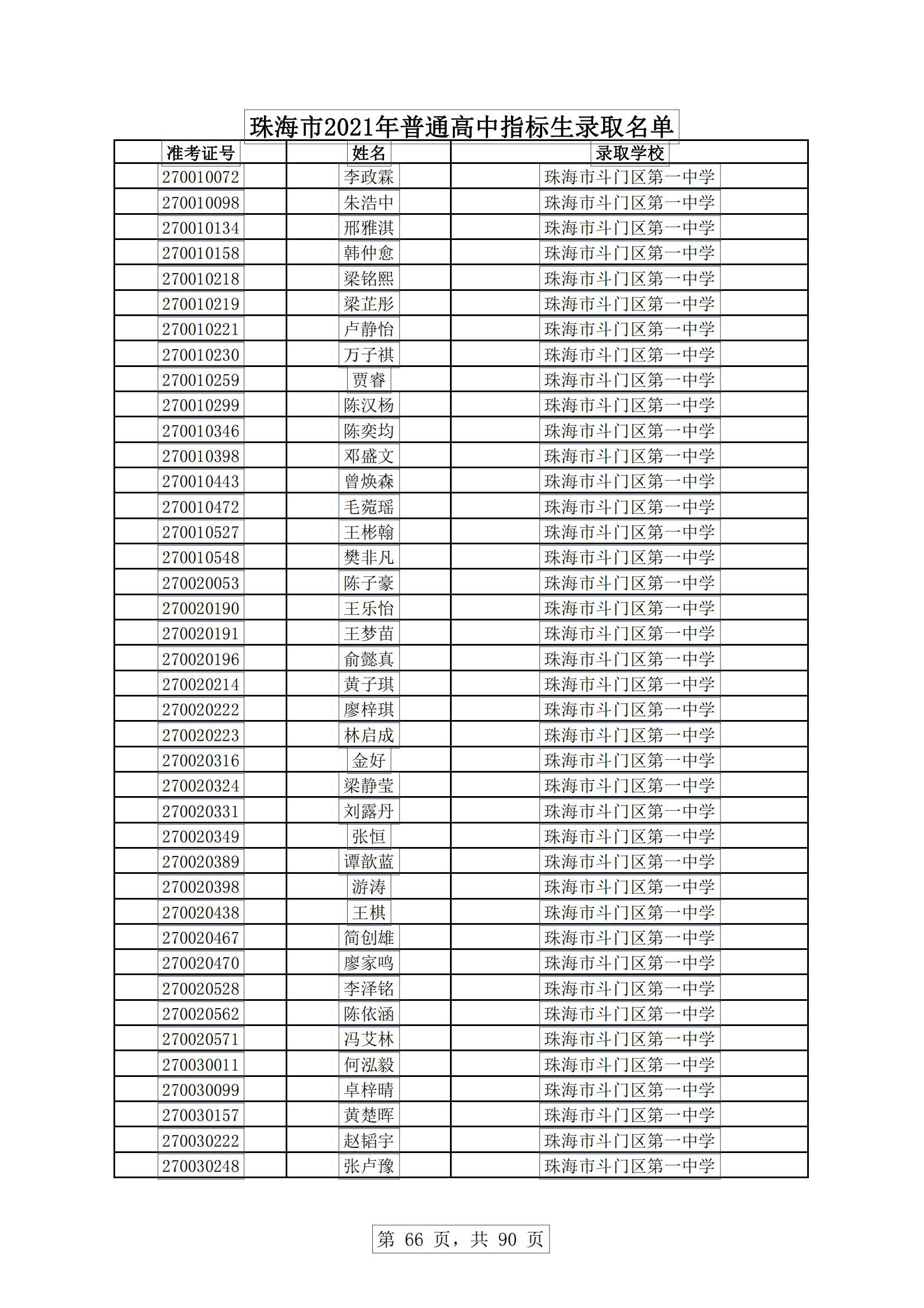
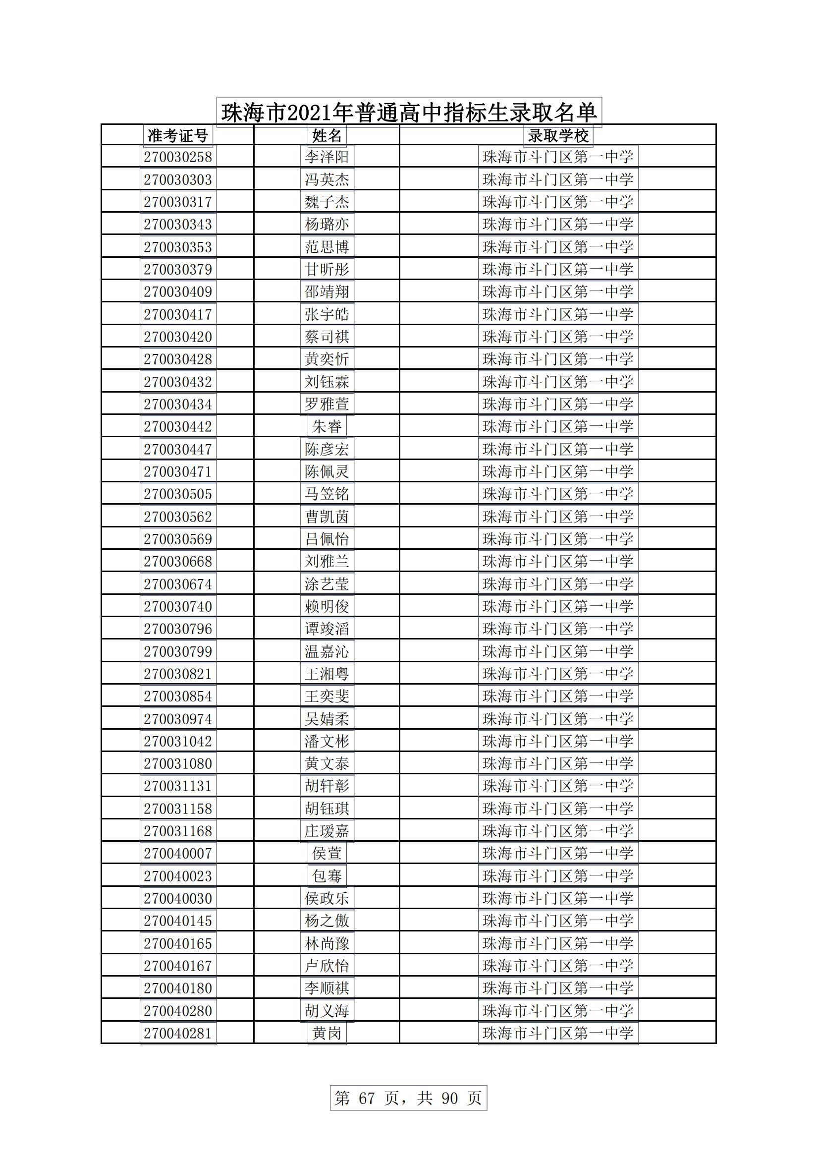
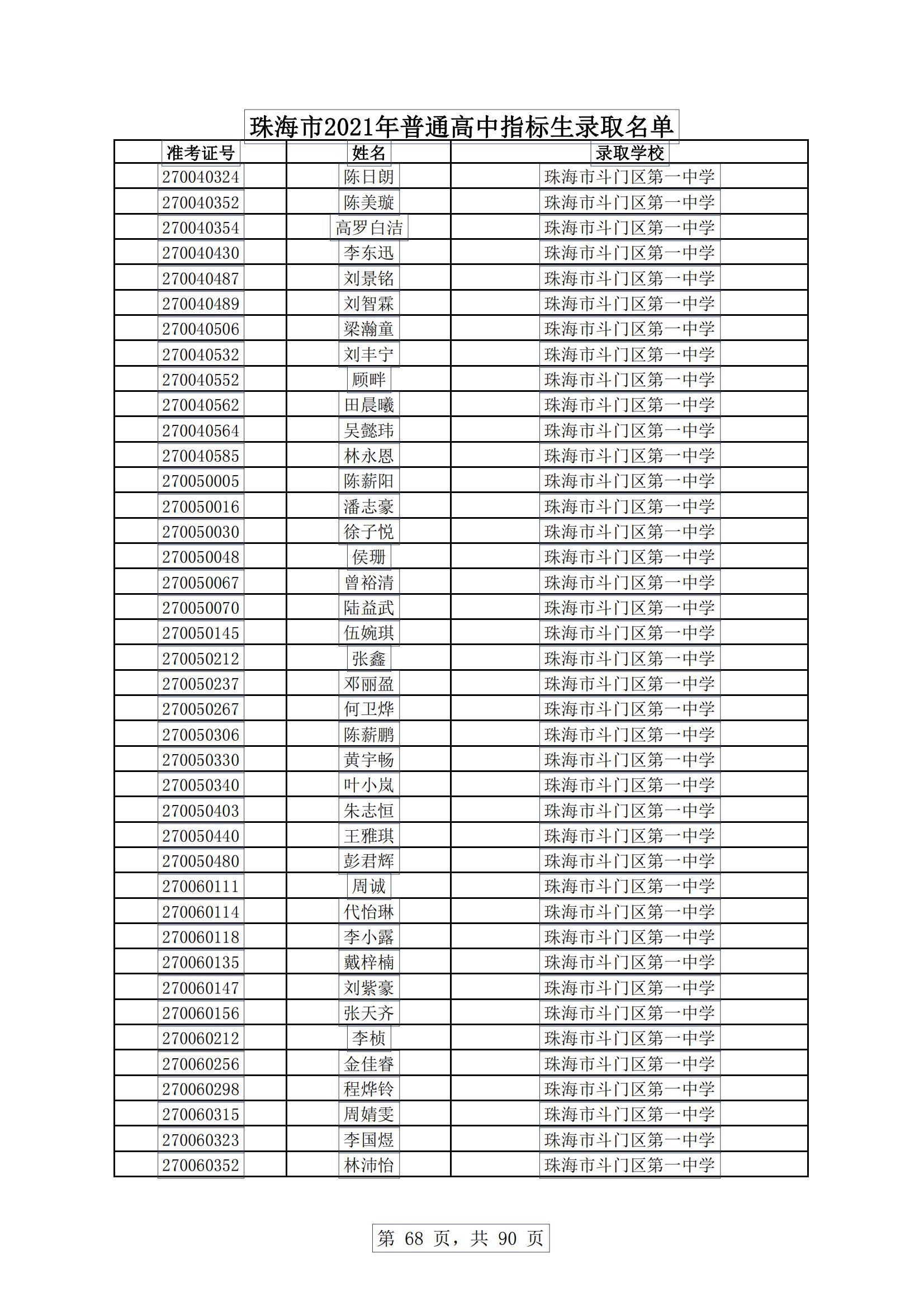
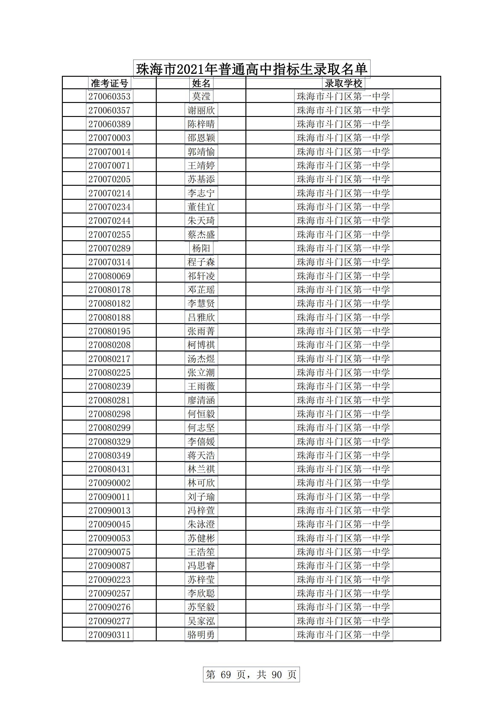
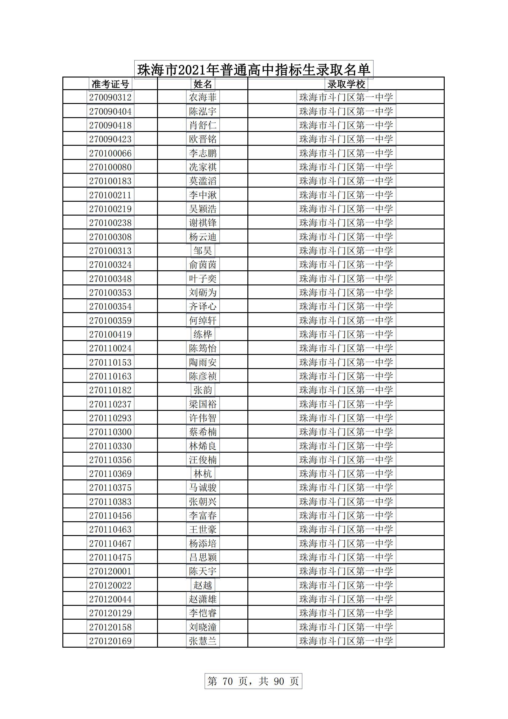
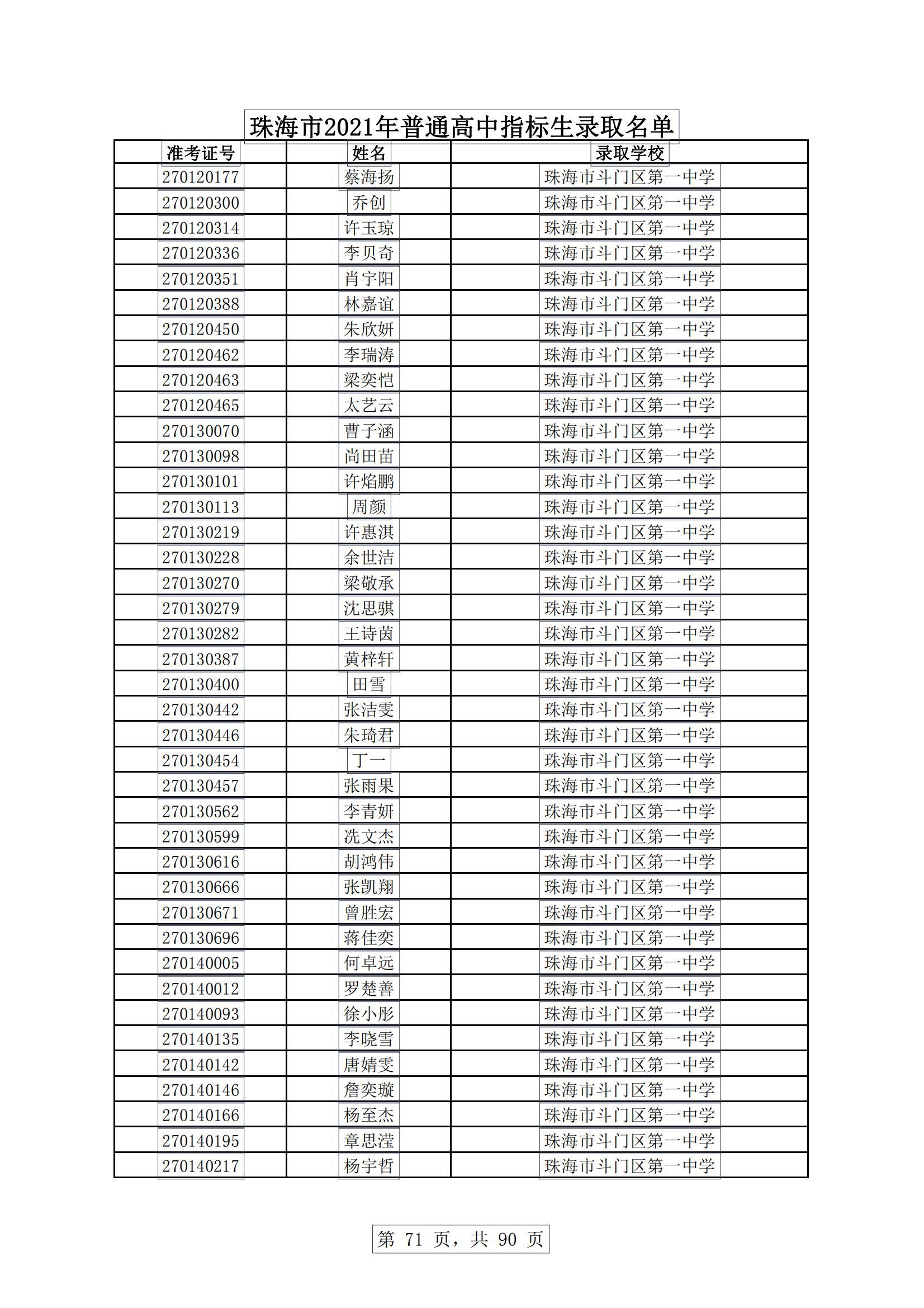
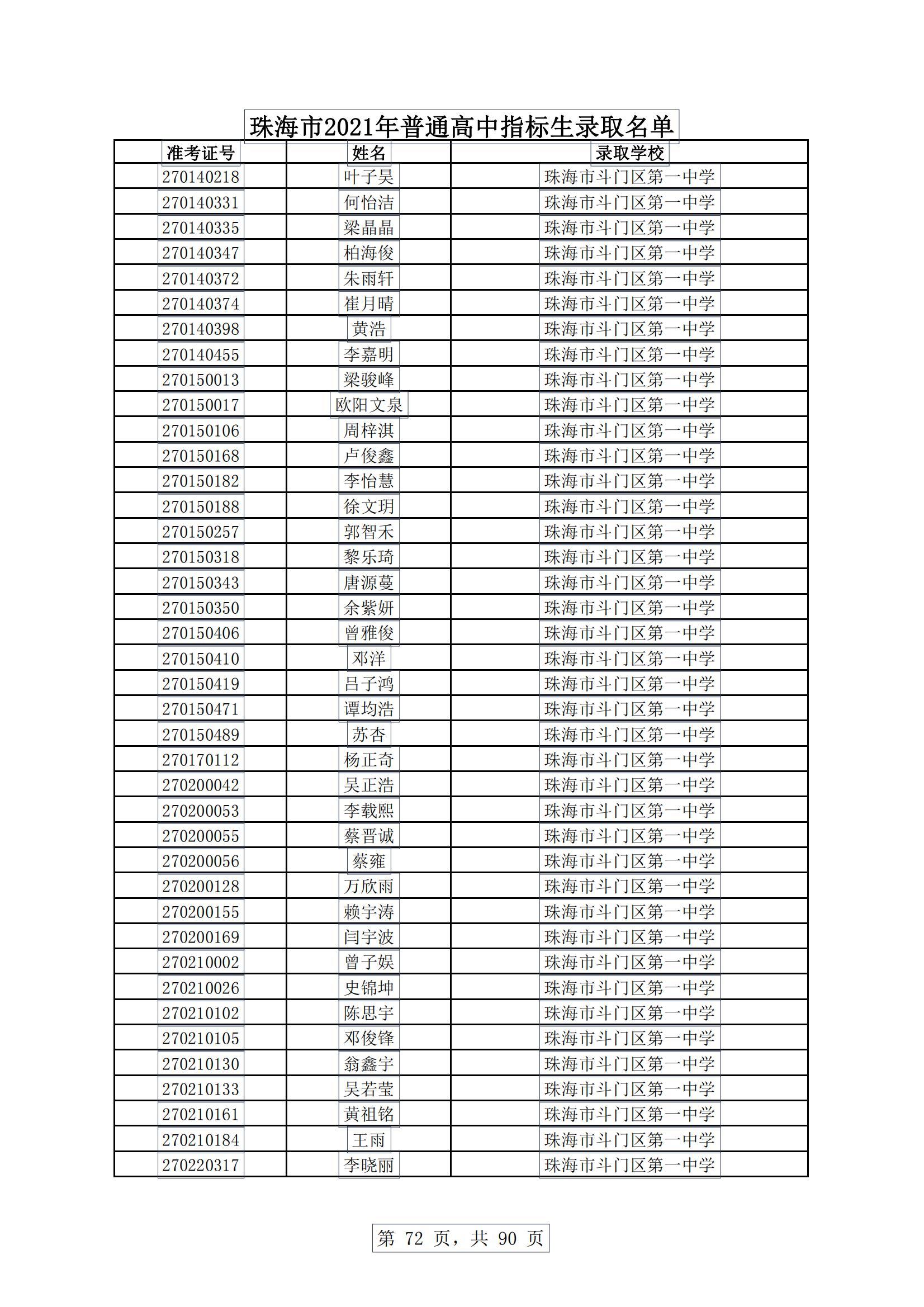
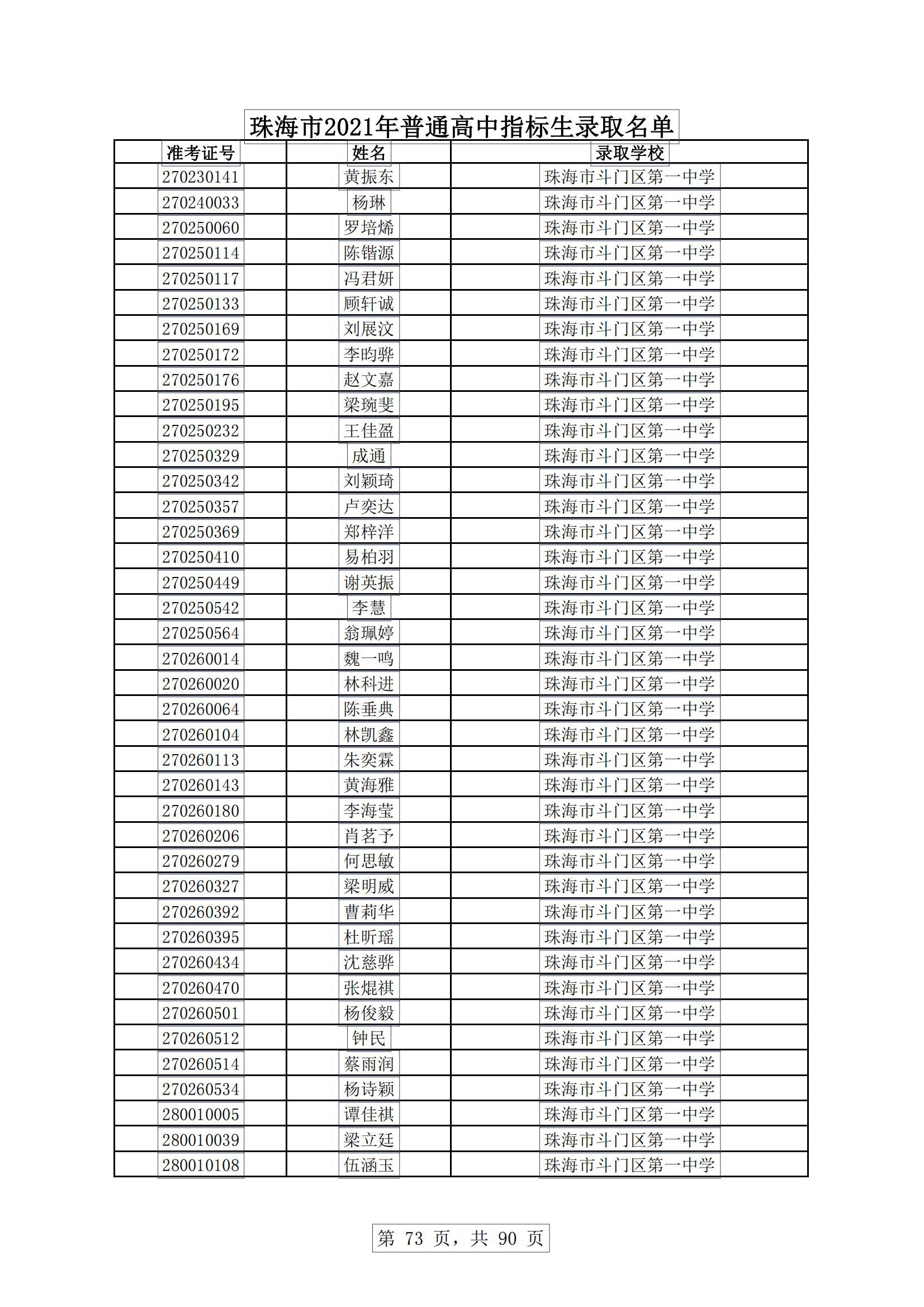
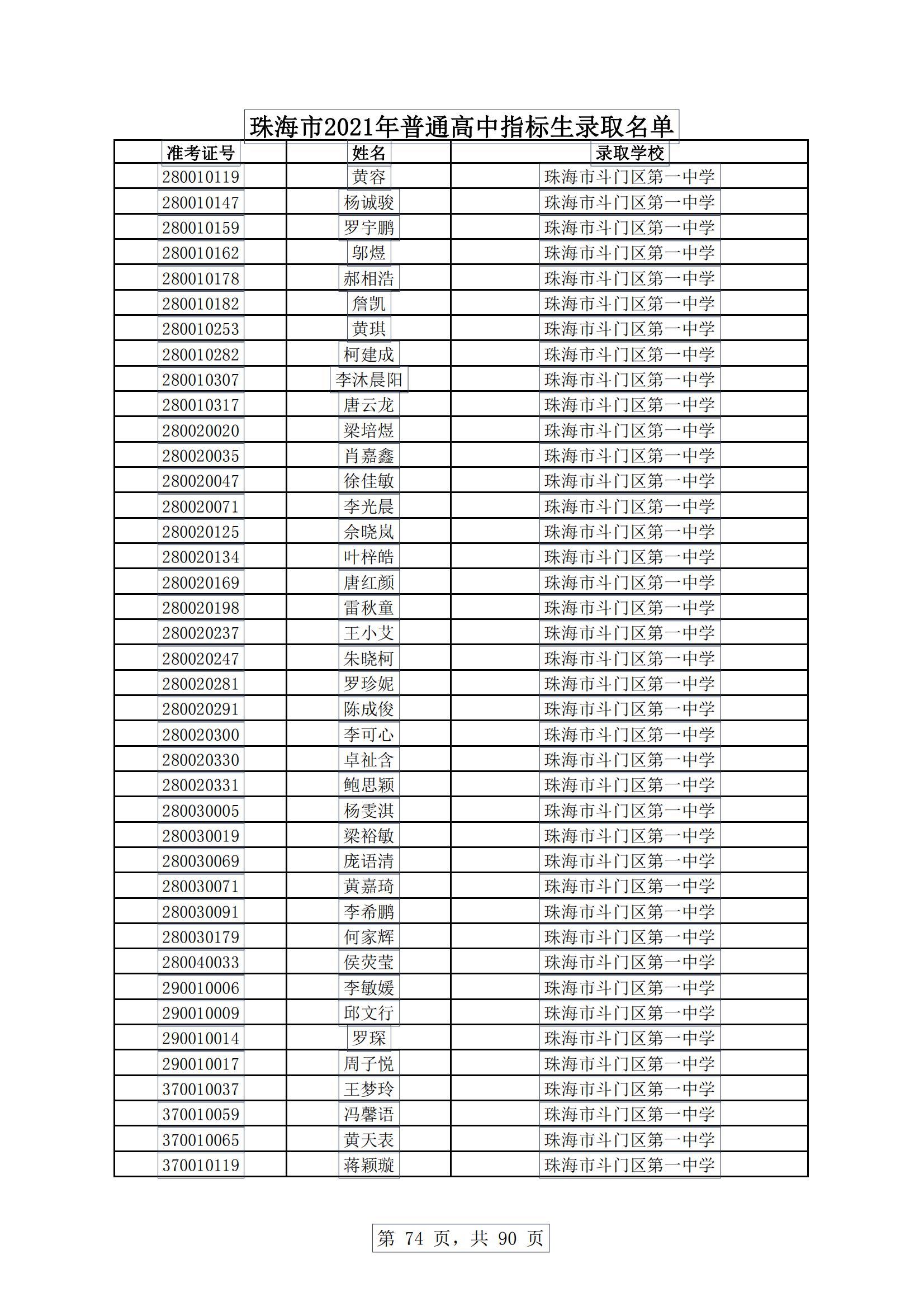
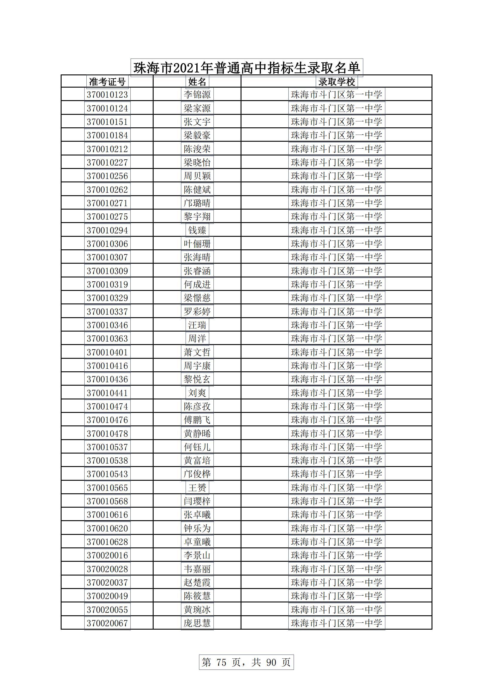
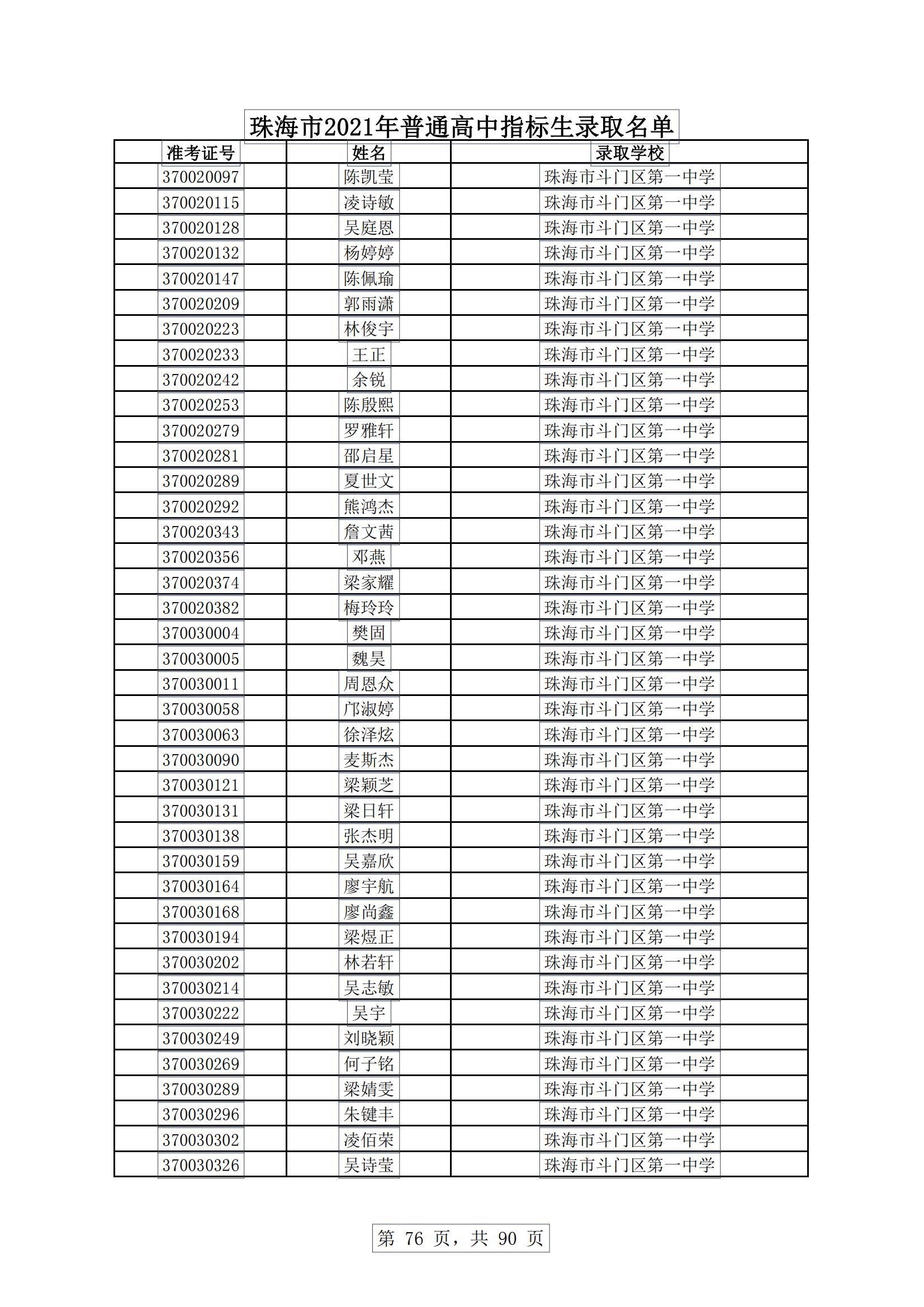
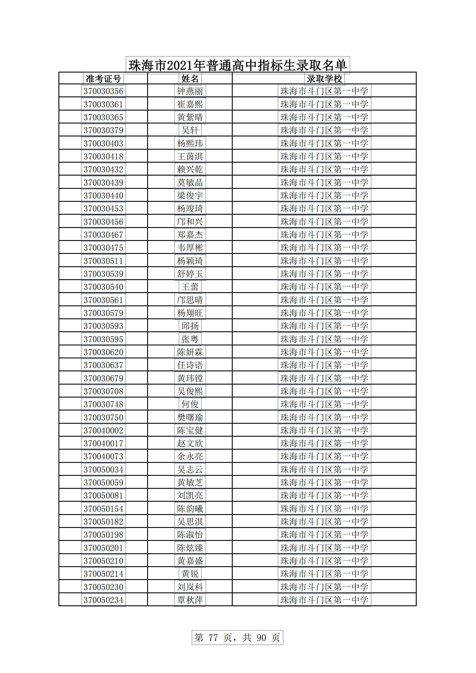
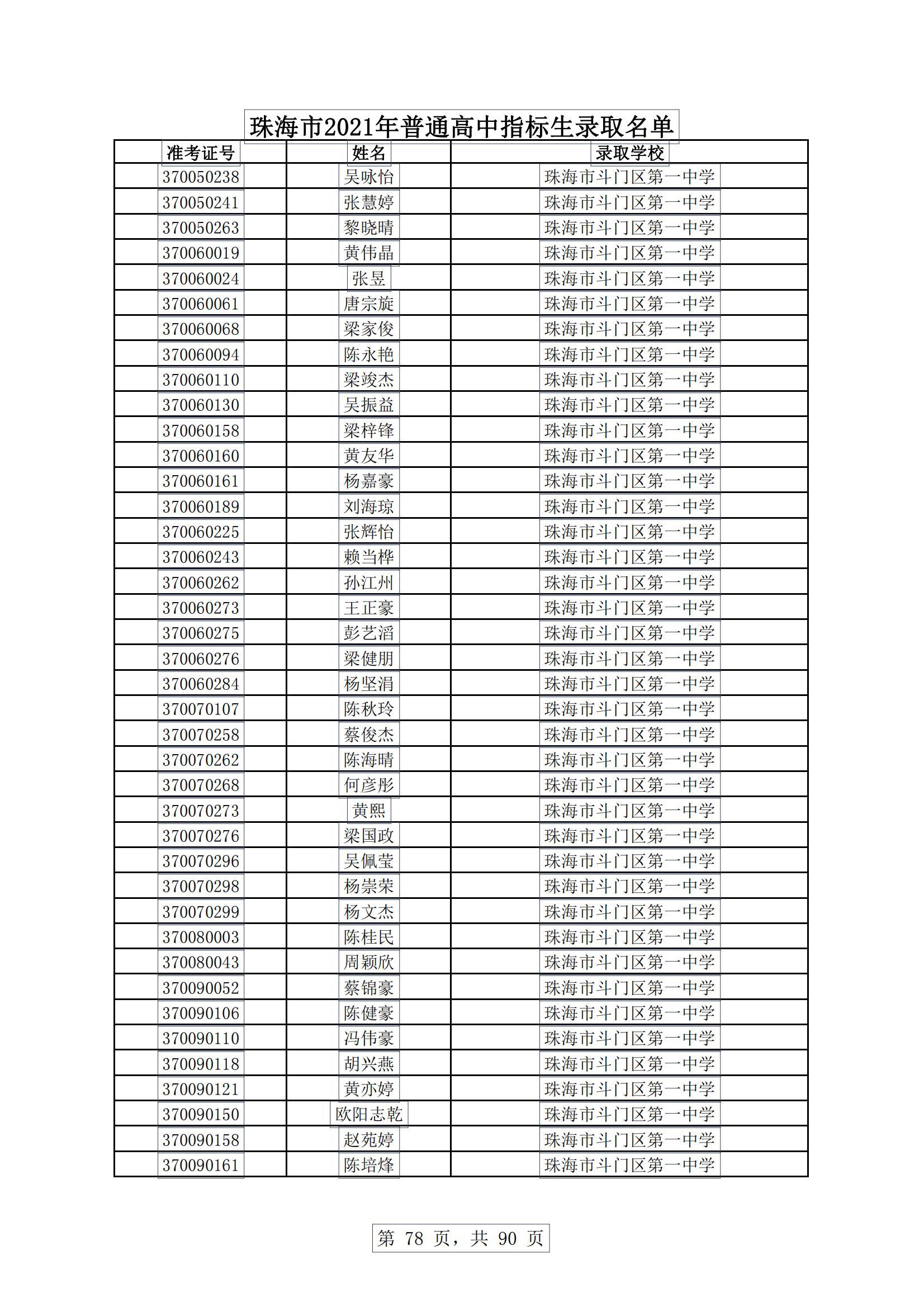
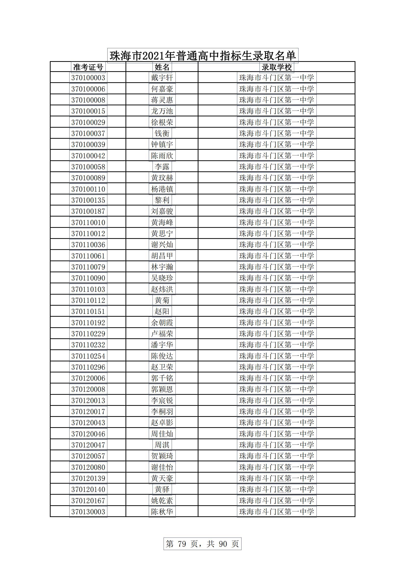
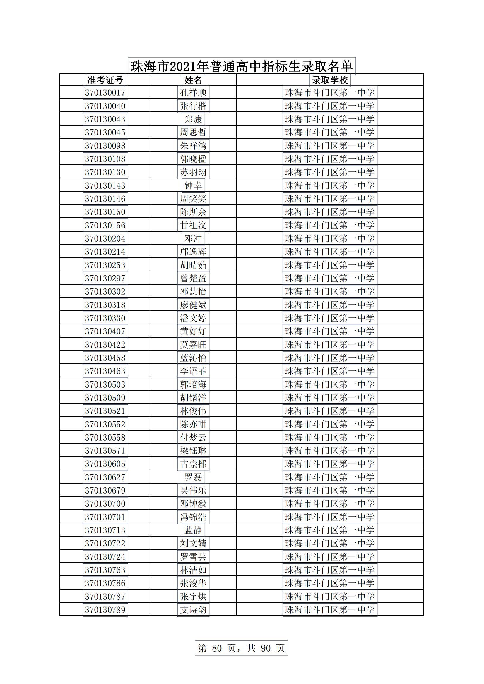
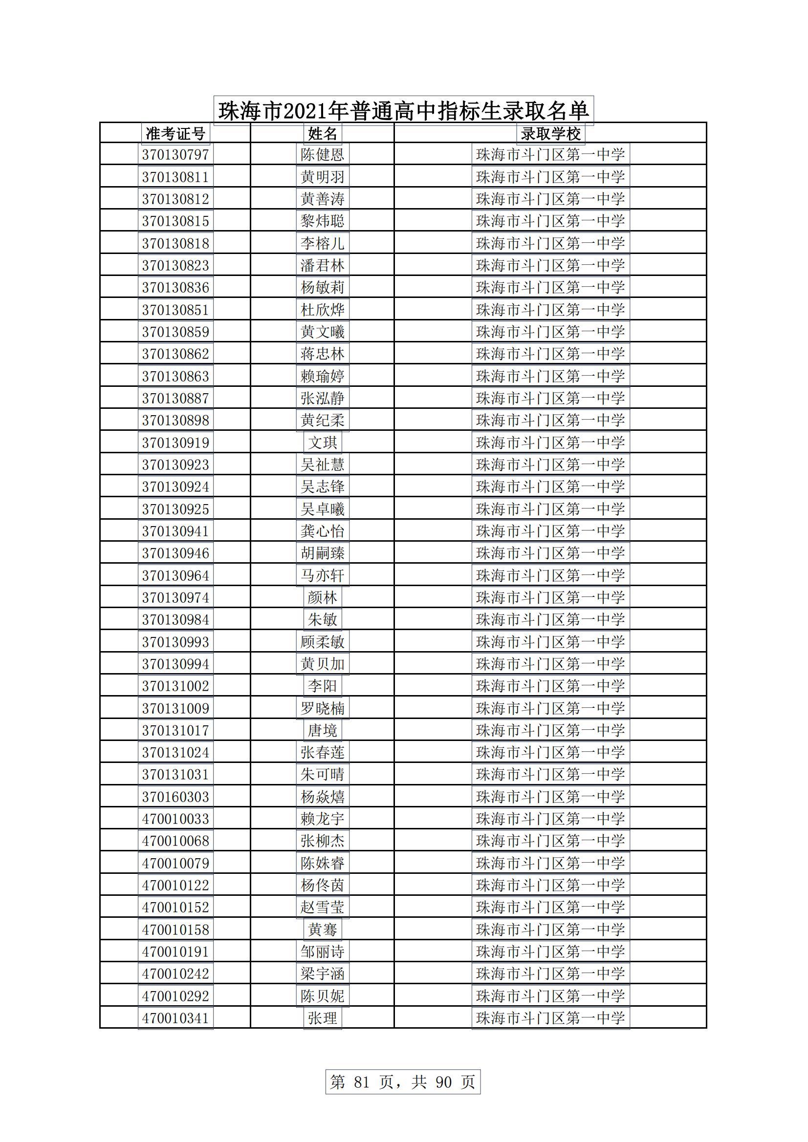
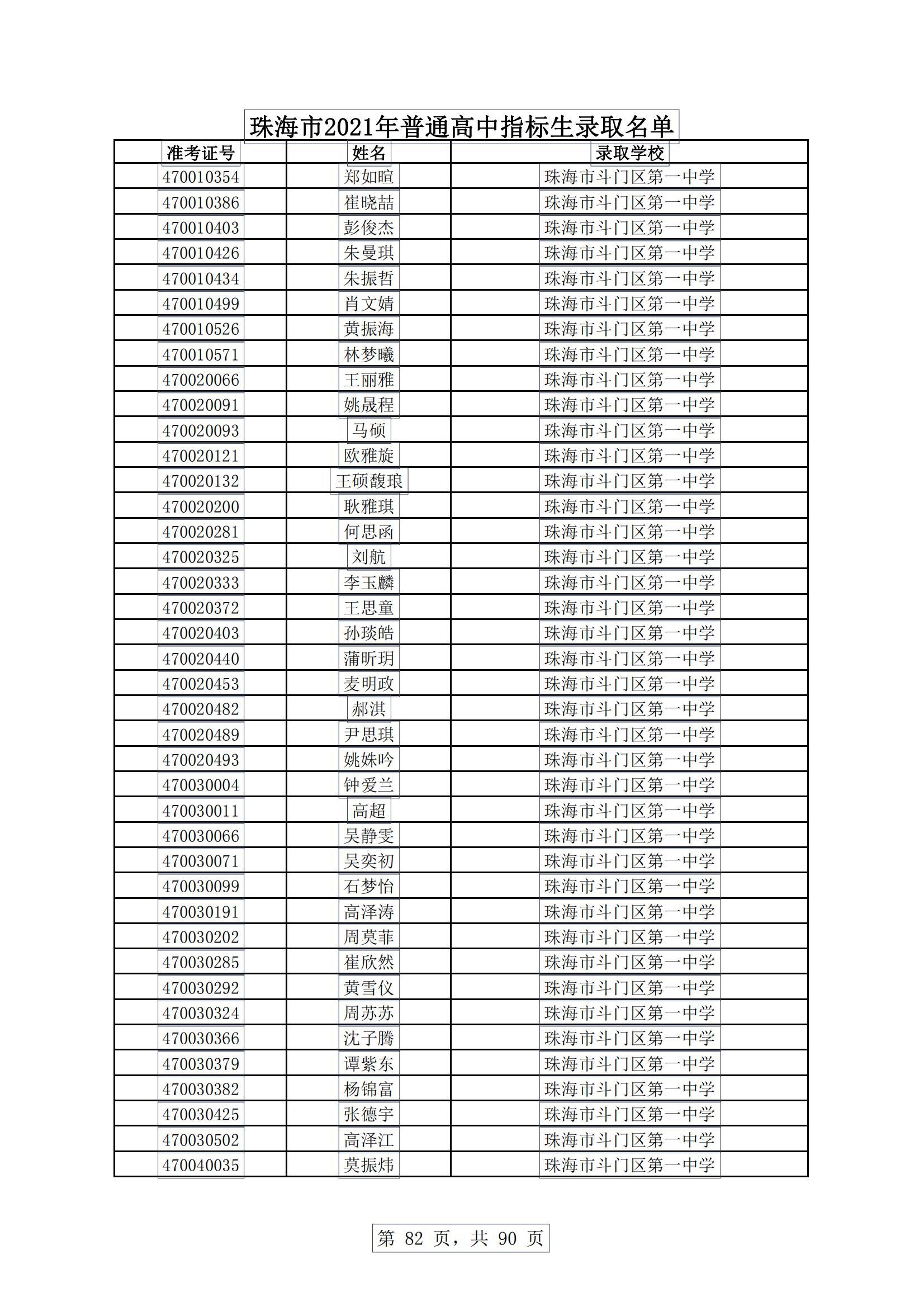
录取名单如下:


























































































【来源】珠海市招生办
珠海大课堂
2021-07-21 12:01
来源:南方+

今天,珠海市教育局发布消息,根据《珠海市2021年初中学业水平考试与高中阶段学校招生工作实施细则》,现将珠海普通高中指标生录取名单进行公示。
普通高中指标生录取名单公示时间为7月20—24日。如有异议,请于公示期间(上班时间内)向市教育局反映。
市教育局官网网址:
http://zhjy.zhuhai.gov.cn
联系电话:
0756-2124373、2121947
传真:
0756-2121301
电子邮箱:
jyjzsb zhuhai.gov.c
录取名单如下:


























































































【来源】珠海市招生办
版权声明:未经许可禁止以任何形式转载