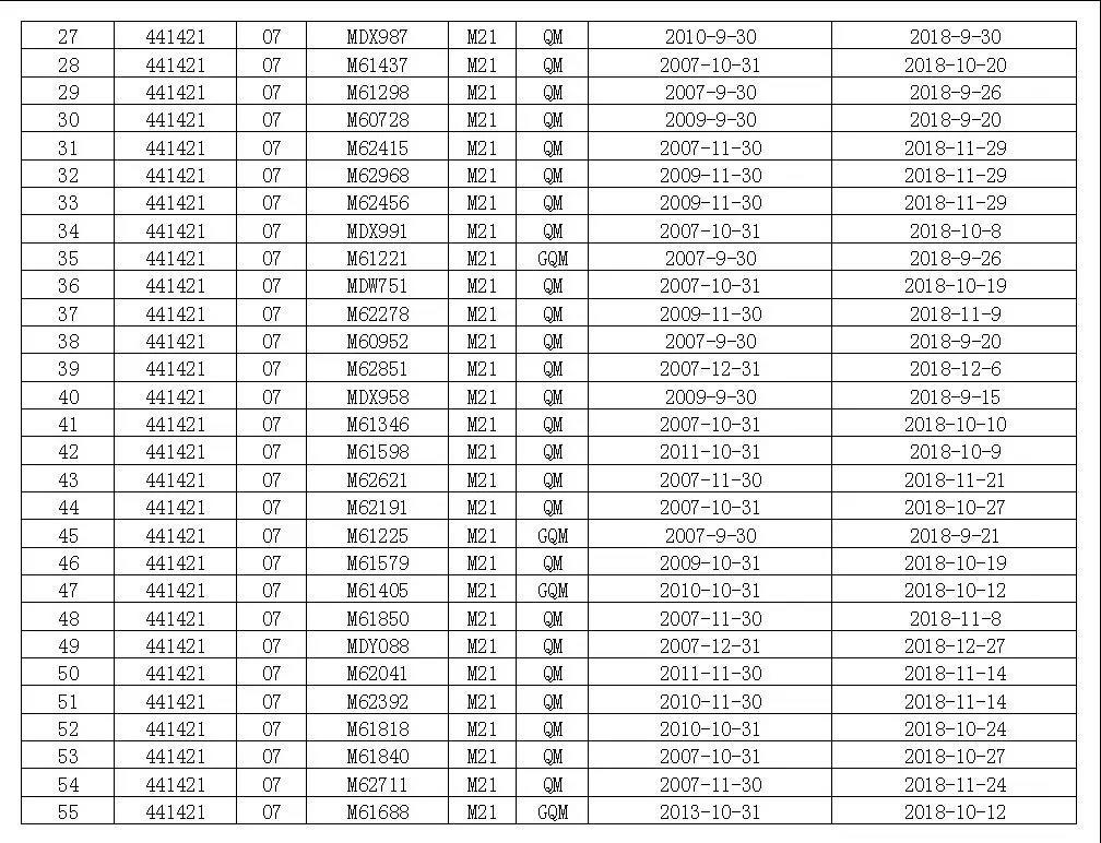
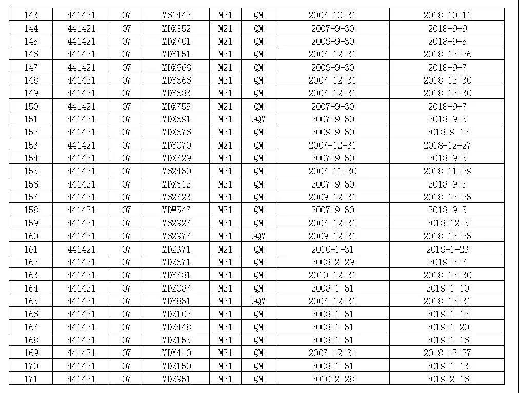
日前,记者从梅县区交警部门了解到,为加大警示力度,共同营造良好的通行环境和交通秩序,让广大机动车驾驶员严格遵守道路交通法律法规,自觉做到遵章守纪,梅县区交警大队公布了 一批达到国家报废标准车辆名单。具体名单如下:











链接
生活中总有一些车主,因为各种原因造成名下车辆达到国家强制报废标准却没有办理注销手续,给自已的工作生活带来极大麻烦。那么,哪些情形下车辆应进行强制报废?怎样办理注销业务?没有报废会带来看样的后果呢?记者为您一一解答。
问题一:哪些情形下车辆应进行强制报废?
根据《机动车强制报废标准规定》,机动车符合下列情形的应当强制报废:
1、机动车达到规定的使用年限的;
2、在检验有效期届满后连续3个机动车检验周期内未取得机动车检验合格标志的应当强制报废。
3、经修理和调整仍不符合机动车安全技术国家标准对在用车有关要求的;
4、经修理和调整或者采用控制技术后,向大气排放污染物或者噪声仍不符合国家标准对在用车有关要求的。
问题二:如何办理注销业务?
根据《机动车登记规定》124号令第二十七条规定,已达到国家强制报废标准的机动车,机动车所有人向机动车回收企业交售机动车时,应当填写申请表,提交机动车登记证书、号牌和行驶证。机动车回收企业应当确认机动车并解体,向机动车所有人出具《报废机动车回收证明》。报废的校车、大型客、货车及其他营运车辆应当在车辆管理所的监督下解体。
机动车回收企业应当在机动车解体后七日内将申请表、机动车登记证书、号牌、行驶证和《报废机动车回收证明》副本提交车辆管理所,申请注销登记。
车辆管理所应当自受理之日起一日内,审查提交的证明、凭证,收回机动车登记证书、号牌、行驶证,出具注销证明。
问题三:驾驶报废车辆上路行驶的后果?
按照《中华人民共和国道路交通安全法》第一百条规定:驾驶拼装的机动车或已达到报废标准的机动车上道路行驶的,公安机关交通管理部门应当予以收缴,强制报废。对驾驶前款所列机动车上道路行驶的驾驶人,处200元以上2000元以下罚款,并吊销机动车驾驶证。
【来源】南方网
【全媒体记者】黄韬炜
【通讯员】温京



